Donnerstag, 18. Juli 2024

Leo Baekeland und der Beginn des Kunststoffzeitalters

 Inhaltsverzeichnis

 

·         1) Einleitung 

·         2) Kunststoff – ein deutsches Wort

·         3) Was ist Bakelite?

o   3.1) Grundlegende Eigenschaften der Phenolharze

o   3.2) Herkunft und Eigenheit der Rohstoffe

§  3.2.1) Herkunft und Geschichte des Steinkohlenteers

-          3.2.1.a) Zusammensetzung des Steinkohlenteers

-          3.2.1.b) Extraktion des Phenols und des Kresols aus

         Steinkohlenteer

§  3.2.2) Stoffeigenschaften und Verwendung des Formaldehyds

o   3.3) Chemie und technologische Eigenschaften des Bakelites

§  3.3.1) Einteilung der Phenolharze nach technologischen                                          

         Eigenschaften

-          3.3.1.a) Novolake (Nichthärtende Phenolharze)

-          3.3.1.b) Resole

§  3.3.2) Herstellung der Harze  

o   3.4) Phenolharz-Formmassen

§  3.4.1) Chemie der Aushärtung von Phenolharz-Formmassen

§  3.4.2) Eigenschaften von Phenol-Formaldehyd-Formstoffen

·         4) Leo H. Baekeland und der Weg zum Bakelite

o   4.1) Eine Karriere beginnt

o   4.2) Der Weg zum Velox Fotopapier

o   4.3) Elektrochemie

o   4.4) Der Weg zum Bakelite

§  4.4.1) Chemiker Zeitung I   

§  4.4.2) Chemiker Zeitung II 

§  4.4.3) Chemiker Zeitung III

§  4.4.4) Chemiker Zeitung IV  

§  4.4.5) Zusammenfassung

·         5) Bekanntmachung, Patentierung und Vermarktung von Bakelite

o   5.1)  Bekanntmachung von Bakelite

o   5.2) Baekelands Kooperation und Geschichte der Rütgers-Werke

§  5.2.1) Zusammenbruch und Neubeginn in Erkner

§  5.2.2) Die Zeit der „Plaste und Elaste“

§  5.2.3) Wiederaufstieg der Bakelite zum Marktführer für

         Duroplast-Kunststoffe

o   5.3) Patentstreitigkeiten und die Bakelite Corporation

·         6)Baekelands weiterer Lebenslauf

·         7) Bakelite – „The Material of Thousand Uses“

o   7.1) Artikel in der Zeitschrift „Kunststoffe“

o   7.2) Bakelite und Design

§  7.2.1 Industrie und Verkehrswesen

§  7.2.2) Elektrotechnische Geräte

-          ­­7.2.2.a) Telefone

-          7.2.2.b) Radios

·         8) These

·         9) Literaturverzeichnis

o   9.1) Quellen

o   9.2) Internetquellen

o   9.3) Literatur

o   9.4) Abbildungsverzeichnis


1) Einleitung

 

Am  13. Juli 1907 reichte Leo Hendrik Baekeland (1863-1944) ein Patent zur Herstellung eines Produktes ein, das einen enormen Einfluss auf die Entwicklung der Technik und der Kunststoffe ausüben und unser alltägliches Leben für immer verändern sollte.[1] „Dieses Patent markierte den Übergang in das „Kunststoff-Zeitalter“, weil darin mit Bakelit der erste synthetische Kunststoff beschrieben wurde.“[2] Folglich ist Baekeland eine Schlüsselfigur in der neueren Wissenschafts- und Technikgeschichte.[3] Als Chemiker, Chemotechniker und Unternehmer machte er bahnbrechende Erfindungen in den Bereichen Fotografie, Elektrochemie und den Polymerwissenschaften.[4] Baekelands innovativer Erfindergeist führte zu fortführenden Entwicklungen und Produkten, die auch noch heute wie selbstverständlich unser Leben bestimmen und bereichern. Diese Arbeit strebt an, die Umstände aufzugreifen und nachzuzeichnen und zu interpretieren, die dazu führten, dass Baekeland, der aus ärmlichsten Verhältnissen stammte, eine Erfindung machte, die ein ganzes Menschheitszeitalter prägte und somit von immerwährender, fortlaufender Bedeutung war und ist.

Die Geschichte der Menschheit ist eng mit den jeweils verfügbaren Werkstoffen verbunden.[5] So wurde vom Archäologen Christian Thomsen gezeigt, dass die zivilisatorischen Entwicklungsschübe in der Frühzeit der Menschheitsgeschichte ganz wesentlich von der Entdeckung und Entwicklung neuer Materialien abhängig waren.[6] Er war es, der erstmals die Begriffe „Steinzeit“, „Bronzezeit“ und „Eisenzeit“ verwendete.[7] Dies waren weniger geschichtliche Epochen, als vor allem Kulturstadien.[8] „Gebrauchsgegenstände, Werkzeuge, Waffen, künstlerische Objekte und Schmuck aus Stein, Metall und Keramik bestimmten die Zivilisationen von frühester Zeit an.“[9]

Die Menschen lernten neben den Materialien natürlichen Ursprungs, z. B. klebenden Baumharzen, auch künstlich erzeugte Werkstoffe einzusetzen.[10] „Dazu gehören durch Verhüttungsprozesse aus Erzen gewonnene Metalle, nicht in der Natur vorkommende Legierungen wie Bronze und Stahl oder keramische Massen.“[11] Der Rohstoffmangel der neueren Zeit führte seit dem 18. Jahrhundert auf dem Wege des Zufallsprinzips zu neuen Werkstoffen, die durch chemische Reaktionen von Säuren oder Laugen mit im Überschuss vorhandenen Naturstoffen entstanden und im engeren Sinne keine Kunststoffe waren: es handelte sich hierbei z.B. um Papier aus Stroh oder Holzschliff mit Kalk und Leim, um 'Kunstleder' aus Haut- und Knochenleim, versetzt mit Tanninen, um Kaseine aus Milch und Lauge, letzlich auch um Zelluloid aus Lignin und Nitrozellulose: sie alle waren nur Surrogate.

 „Ganz sicher ist unsere Gegenwart ohne Kunststoffe nicht vorstellbar.“[12] So hat Karl Mienes 1965 für diesen jüngsten Abschnitt der Menschheitsgeschichte das Wort „Plasicaeum“ geprägt.[13] Folglich  haben die frühen chemischen Werkstoffe und die Kunststoffe die Entwicklung der menschlichen Zivilisation und Kultur seit dem Mittelalter in einer Weise gesteuert und beschleunigt, die ohne diese „Werkstoffe aus Menschenhand“ nicht denkbar wäre.[14] Wie schon angedeutet, reicht die Geschichte der Kunststoffe sehr weit zurück. „Schon von jeher wurde nach gut zugänglichen und leicht zu bearbeitenden Werkstoffen gesucht, um mit möglichst geringem körperlichem und maschinellem Aufwand Hilfsmittel für das tägliche Leben, zum Lösen technischer Aufgaben oder zum Erreichen künstlerischer Wirkungen zu finden.“[15]

„Die sich etwa um 1700 rasch veränderten sozialen Strukturen führten zu einer Fülle von Imitationen und Surrogatstoffen, die dem Bürger Zugang zu bis dahin nur wenigen, meist wohlhabenden Schichten vorbehaltenden Dingen ermöglichten.“[16]

Ungefähr in der Mitte des 19. Jahrhunderts gelangen erstmals Versuche, die Naturstoffe Kautschuk und Cellulose chemisch so zu verändern, dass sie als Gummi, Vulkanfiber und Celluloid völlig neue Eigenschaften besaßen.[17] „Bis zur Jahrhundertwende wurden weitere Umwandlungsprodukte von Naturstoffen entwickelt: Kunsthorn aus Casein, dem Eiweißstoff der Milch, Zellglas und Celluloseacetat.“[18] „Ihre gegenüber den Naturstoffen in vieler Hinsicht verbesserten Eigenschaften führten bald dazu, daß diese heute als abgewandelte Naturstoffe bezeichneten Kunststoffe nicht mehr nur als Ersatzstoffe verwendet wurden, sondern sich umfangreiche Einsatzgebiete eroberten.“[19] Bakelite jedoch war das erste Material der Welt, das den Namen „Kunststoff“ wirklich verdiente, da es ausschließlich aus künstlich erzeugten Ausgangsstoffen hergestellt wurde.[20] Diese Ausgangsstoffe waren und sind Phenol und Formaldehyd. Beim Letzteren handelt es sich um eine leicht zugängliche und damals schon preisgünstige Chemikalie. Das Phenol ist ein Bestandteil des Steinkohlenteers. „Mit dem Steinkohlenteer verhielt es sich allerdings ganz seltsam.“[21] „Er war eigentlich ein unerwünschtes Abfallprodukt bei der Koksherstellung; damals wuchsen die Teermassen wie heute der Müllberg.“[22] Wurde der Steinkohlenteer aus Kokereien und örtlichen Gasanstalten zunächst nur genutzt, um die Schwellen der Eisenbahngleise darin zu tränken, gelang es bald. lukrative Stoffe, wie z.B. Teerfarbstoffe, Benzol, Toluol und Xylol, daraus zu extrahieren, um damit die Gewinnspanne der Erzeuger zu erweitern.

 „Bald galt der Steinkohlenteer als das Gold des ausgehenden 19. Jahrhunderts.“[23] In riesigen Destillationsanlagen entzogen ihm die Chemiker wertvolle Kohlenstoffverbindungen, die anschließend zu Farbstoffen, Arzneien und Süßmitteln weiterverarbeitet wurden.[24] Nun stellt sich die Frage, wie es sein konnte, dass genau der Teerbestandteil, für den es keine weitere Verwendung gab, nämlich das Phenol, welches im Teer mit einem Anteil von bis zu 5 Prozent enthalten war, zu dem Grundstoff für Bakelite wurde?[25] Um dieser Frage näher zu kommen, beschäftigt sich Kapitel 3.2.1) mit der Herkunft und Geschichte des Steinkohlenteers sowie im folgenden Unterkapitel mit der Extraktion des Phenols.

Doch zurück zu Baekeland. Dieser stellte 1909 mit einem Artikel in der „Chemiker Zeitung“[26] erstmals seine Erfindung Bakelite, und die entsprechenden Forschungen, detailliert einer breiten Öffentlichkeit vor. Dieser Artikel wird vollständig wiedergegeben, um zu verdeutlichen, welche Versuche und Arbeitsschritte er unternahm, um letztendlich Bakelite zu kreieren. Dabei geht Baekeland zunächst detailliert auf die (Miss-)Versuche seiner Konkurrenten ein, um nachfolgend seine eigenen, gelungenen Forschungen zu präsentieren. Um den Artikel und somit Baekelands Forschungen nachvollziehen zu können, bietet das Oberkapitel 3 eine Grundlage. Wobei hier 3.3) und 3.4) einen detaillierten Einblick verschaffen. Hier wird auch Kurt Hultzsch[27] zitiert, der 1950 ein noch bis heute hin geltendes Standardwerk über die Chemie und Geschichte der Phenolharze verfasst hat. Von weiterer Wichtigkeit für dieses Kapitel ist die aktuelle Darstellung „Kunststoffe. Eigenschaften und Anwendungen“[28] aus dem Jahr 2012.

Aber warum die „Chemiker Zeitung“? Hierbei ist anzumerken, dass Baekeland im Wintersemester 1900/01 in Berlin Charlottenburg Elektrotechnik studierte – in direkter Nachbarschaft der Unternehmen Siemens, AEG und Rütgers. Es waren auch später ausgerechnet die Chemiker der Rütgers-Werke, die sich um die Bakelite-Lizenzen bemühten.[29] Folglich könnte man behaupten, dass Baekeland bewusst den Artikel lancierte, um eben genau die Rütgers-Werke für sich zu gewinnen. Wie Kapitel 6) zeigt, kam es zu dieser erwünschten Kooperation zwischen Baekeland und den Rütgers-Werken. So gründeten die Rütgers-Werke am 25. Mai 1910 unter Beteiligung von Baekeland  die ‚Bakelite Gesellschaft mbH, Berlin-Erkner‘. Entsprechend wird die weitere Firmengeschichte über den Trabant („Trabi“) bis heute wiedergegeben.

Zur Geschichte und Chemie des Steinkohlenteers haben sich vor allen H.-G. Franck und Gerd Collin hervorgetan. Die eben genannten haben 1968 gemeinsam „Steinkohlenteer“[30] verfasst, wobei es sich hierum um eine ausführliche, und für diese Arbeit notwendige Darstellung der Steinkohlenteerchemie handelt. Zur Geschichte des Steinkohlenteers und der Rütgers-Werke, sind die Dissertation „Geschichte der Steinkohlenteerchemie am Beispiel der Rütgers-Werke“[31] und der Aufsatz „Zur Geschichte der Bakelite Duroplaste"[32] von G. Collin für diese Arbeit von hinreichender Bedeutung.

 

Neben dem Bakelite war eine weitere Erfindung Baekelands ein sogenannter „game changer“, und zwar das Velox Fotopapier. Schon von frühester Jugend an fand Baekeland Begeisterung an der Fotografie. Nachdem er mit 27 Jahren in die USA immigrierte, fing er an, im Foto-bereich zu arbeiten und machte sich schnell einen Namen als allwissender Experte. Wie später auch bei seinen Forschungen zum Bakelite erlitt Baekeland dort ebenfalls zahlreiche Rückschläge, jedoch glich er diese durch seine akribische Forschungsarbeit aus. Schließlich erfand er 1892 Velox, wodurch man erstmals mit künstlichem Licht kopieren, Fotos schnell entwickeln und fixieren konnte. Kodak löste mit der Erfindung des Zelluloidrollfilms einen Boom aus, der aufgrund der Erfindung Baekelands ermöglicht wurde.  Fotografie war nun für jedermann zugänglich gemacht worden. Kodak zahlte ihm für die Rechte an seiner Erfindung

750.000 $, wodurch Baekeland im Alter von 35 Jahren bereits finanziell unabhängig wurde.

 Er konnte sich nun unbekümmert den Forschungen und Arbeiten widmen, die ihn interessierten. Folglich forschte er an elektrolytischen Zellen und war beteiligt an der 1905 gegründeten „Hooker Electrochemical Company“, die eine der größten elektrochemischen Anlagen der Welt an den Niagarafällen errichtete.

 

Schon 1902 begann Baekeland -systematisch wie immer- Patentschriften und Chemiezeitschriften zu durchforsten.[33] „Er suchte ein Arbeitsgebiet, das einem Erfinder wie ihm die besten Chancen für den großen Wurf bot.“[34] Baekeland stieß dann auf ein eigenartiges Rätsel der Chemie: die Phenol-Formaldehyd-Reaktion.[35]

Wie aus dem Artikel der Chemiker-Zeitung hervorging, bewies bereits Adolf Baeyer 1872, dass Phenole und Aldehyde aufeinander reagieren. Des Weiteren zeigte der Artikel, dass sich zahlreiche Chemiker in den folgenden Jahren mit dieser Reaktion auseinandersetzten. Nun stellt sich die Frage, welche Ziele sie mit diesen Forschungen verfolgten?  Die Forscher träumten von einem Werkstoff, der beständiger als Holz, leichter als Eisen und haltbarer als Gummi war.[36] Der wichtigste Aspekt war jedoch die Suche nach einem elektrischen Isolator. Der bis dato gebräuchliche Schellack wurde aus dem harzigen Sekret der weiblichen Lackschildlaus gewonnen. Entsprechend überstieg bald der Bedarf die Verfügbarkeit dieser natürlichen Ressource.

Sowohl Baekeland als auch seine Konkurrenten hatten vor allen Dingen ein Problem bei ihrer Suche, nämlich die heftige Gasbildung bei der Reaktion zwischen Phenol und Formaldehyd. „Nachdem er fünf Jahre lang versucht hatte, die Reaktion dadurch in den Griff zu bekommen, daß er sie verlangsamte, hatte Baekeland Anfang 1907 eine Eingebung: Statt die heftige Gasbildung durch Verlangsamung der Reaktion zu verringern, warum sollte er sie nicht beschleunigen?“[37] Seine Vorgänger hatten versucht, die Temperatur niedrig zu halten, um die Gasbildung einzuschränken.[38] Baekeland beschritt jedoch einen anderen Weg: Wie in der „Chemiker Zeitung“ beschrieben, erhöhte er den Druck, um die Gasbildung in den Griff zu bekommen. Hierzu entwickelte er einen speziellen Destillierapparat, den er „Bakelizer“ nannte. „Damit konnte er die Hitze und den Druck präzise variieren und die resultierende Reaktion genau regulieren.“[39] „Plötzlich, am 20. Juni 1907 war es da, das Bakelit, und mit ihm auch sein Name“[40] Baekeland merkte nun folgendes mit wachsender Erregung an: „Eine fest gewordene Masse, gelblich und hart… Das sieht vielversprechend aus, und es wird sich lohnen festzustellen inwiefern sich diese Masse gießen läßt, entweder allein oder in Verbindung mit anderen festem Material wie zum Beispiel Asbest, Kasein, Zinkoxyd, Stärke, verschiedene anorganischen Pulvern und Lampenruß, und wie sich so ein Ersatz für Zelluloid und für Hartgummi herstellen läßt.[41]

Wie sich zeigen wird, war sich Baekeland keineswegs bewusst über die chemische Konstitution von Bakelite. Dies lag vor allem daran, dass es unlöslich, weder schmelz- noch verdampfbar war und nicht kristallisiert werden konnte.[42] Wie in der „Chemiker-Zeitung“ aufgezeigt, versuchte Baekeland dennoch die chemische Struktur von Bakelite annähernd zu beschreiben.

Als Ergebnis seiner Arbeiten meldete Baekeland 1907 in den USA sieben Patente an, darunter

am 13. Juli 1907 sein  später berühmt gewordenes Hitze-und-Druckpatent. Patentanmeldungen und -vergaben  in weiteren Ländern sollten folgen.

Wie in Kapitel 3 beschrieben, war Bakelite der erste duroplastische Kunststoff, d. h. dass er im vernetzten (ausgehärteten) Endzustand unlöslich und nicht mehr schmelzbar ist. Thermoplasten hingegen, wie z. B. Zelluloid, werden bei Hitzeeinwirkung erneut verformbar. Das Besondere an Bakelite war und ist, dass es sich bei ihm um einen Nichtleiter für Wärme und Elektrizität handelte. Außerdem reagiert es gar nicht oder nur im geringen Maße mit Säuren, Alkalien und Wasser.  Des Weiteren gibt es verschiedene Bakelite-Zustände, die jeweils für unterschiedliche Anwendungen gebräuchlich sind.  Wegen dieser Grundeigenschaften wird Bakelite auch „the material of thousand uses“ bezeichnet. Das zweifellos bedeutendste an Bakelite ist seine Eigenschaft als elektrischer Isolator, worin es allen natürlichen auf dem Markt erhältlichen Stoffen überlegen war. Zusammengefasst war es einer Reihe entsprechender Materialien überlegen und hatte folgende Eigenschaften: Es war elektrizitätsresistenter als Porzellan oder Glimmer, chemisch stabiler als Gummi, hitzebeständiger als Schellack, unzerbrechlicher als Glas und Keramik; es platzte nicht, verblich nicht, zerknitterte nicht, verfärbte sich nicht unter Einfluss von Sonnenlicht, Feuchtigkeit oder salzhaltiger Luft; es widerstand dem Ozon und enthielt keinen Schwefel, wodurch es, so wie es beim Hartgummi der Fall war, sich mit der Zeit hätte zersetzen können; es ließ sich auch nicht durch Salzsäure angreifen oder durch Alkohol fleckig machen.[43] „Wenn man es mit öligen oder fettigen Fingern anfaßte, verbog oder verzerrte es sich dadurch nicht“[44] „Es war praktisch einem jeglichen natürlichen oder menschlichen Angriff gegenüber unempfindlich.“[45]

Wie sich zeigen wird, kam es nach Bekanntwerden des Bakelites zu einigen Patentstreitigkeiten. So hatte H. Lebach das Resinit beschrieben, einen Kunststoff, der sich nur wenig vom Bakelite unterschied, jedoch die Eigenart besaß, auch ohne Bakelisator zwischen 80 und 90 °C in wenigen Stunden auszuhärten. „Lebach erwähnt auch, dass Novolake nach Aylsworth durch Zugabe und Erhitzen mit Trioxymethylen oder Hexamethylentetramin (Urotropin) in Resite überführt werden könne, räumte aber 1913 ein, dass die Unterscheidung zwischen Bakelite und Resinit nur noch willkürlich sei.“[46] Neben Lebach musste er sich einer Flut von unlizenzierten Nachahmern und Plagiatoren erwehren.[47] „In ungezählten Prozessen verfolgte er diese wegen betrügerischer Nachahmung, die er auch ausnahmslos gewann. Doch konnte er schließlich fast alle Konkurrenten überzeugen, mit ihm zusammenzuarbeiten. Die meisten zählte Baekeland bald zu seinen besten Freunden.“[48]

 

Kurze Zeit nach der Kooperation mit den Rütgers-Werken, im Oktober 1910, gründete Baekeland in Perth Amboy (New Jersey, USA), die General Bakelite Company, später Bakelite Corporation, deren Präsident es bis 1939 blieb. Wichtigste Kunden der ersten Bakelite-Fabriken waren elektrotechnische Unternehmen wie Siemens, AEG, Westinghouse und General Electric.[49]

„Während des Ersten Weltkriegs war auf beiden Seiten der sich bekämpfenden Mächte das Militär Hauptabnehmer der vielseitigen Kunststoffe.“[50]

                                    Abb. 1

 

„Nach dem Ersten Weltkrieg vergab Baekeland weitere Lizenzen nach England, Kanada und Japan.“[51] „Der Markenname Bakelite blieb von Anbeginn mit der liegenden Acht ∞ verknüpft, dem mathematischen Symbol für die unendlichen Möglichkeiten der Duroplaste.“[52] So kam es dazu, dass immer mehr Bakelite-Produkte produziert wurden.

Insbesondere elektrotechnische Geräte wie Drahtisolierungen, Verteilerkappen, Schalter, Stecker, Zündspulen, Telefone, Flugzeuginstrumente, Radios und Staubsauger, ferner Gehäuse von Fotoapparaten, Filmkameras, Thermoskannen, Haarföne, Schreibmaschinen, Plattenspieler und Aschenbecher.[53] In Kapitel 7) soll eine Auswahl dieser Produkte bildlich dargestellt und beschrieben werden. Tessa Clark hat in ihrem Buch „Bakelite Style“[54] jene ausführlich dargestellt. Auch aus dem 1992 erschienenen Bildband „Bakelite –an illustrated Guide to collectible Bakelite Objects“[55] wird zitiert werden. Objekte aus Bakelite sind Teil der Industriegeschichte und haben insbesondere die 1920er bis 1950er Jahre geprägt. So steht die Erfindung des Bakelites in enger Beziehung mit der Entwicklung des Art-Déco-Stils.[56]

Diese Arbeit stellt also auch den Anspruch, den kunstgeschichtlichen Aspekt des Bakelites abzuhandeln, um zu zeigen, wie Baekelands Erfindung in allen Bereichen des Lebens Einzug hielt. Die Geschichte der Kunststoffe und somit auch des Bakelites hat daher neben einer chemisch-technischen sowie wirtschaftlichen, auch eine soziale und kulturhistorische Thematik.

Eine ganzheitliche Darstellung über Bakelite und Design findet sich hierzu in der 1993 erschienen Begleitpublizierung „Bakelit – ein Werkstoff mit Zukunft“[57] zur gleichnamigen Sonderausstellung des Landemuseums Koblenz und des Kunststoff-Museums-Vereins e. V., in der mehrere Autoren entsprechende Artikel veröffentlichten, die bedeutsam für diese Arbeit sind.

 

Um den Sonderstatus des Begriffs „Kunststoff“ in der deutschen Sprache aufzuzeigen, dient das Kapitel 2). Der nicht nur hier zitierte Dietrich Braun hat in seinem Buch „Kleine Geschichte der Kunststoffe“[58] von 2013 eine gestraffte aber umfassende Gesamtdarstellung der Kunststoffgeschichte aufbereitet. In Kapitel 2) wird auch der Zusammenhang zwischen dem Wort „Kunststoff“ und der Zeitschrift „Kunststoffe“ dargelegt, dabei ein wohl ebenfalls lancierter, anonym verfasster Artikel für diese Arbeit von Belang ist. Hierzu später mehr.

 

Nachdem in Kapitel 4) der Lebensweg Baekelands bis hin zur Erfindung von Bakelite dargestellt wird, soll Kapitel 6) seinen weiteren Lebensweg bis hin zu seinem Tode beschreiben. In diesen Kapiteln soll mithilfe der Darstellung seiner Vita sowohl seine Persönlichkeit als auch seine Motivation behandelt werden.

Seine Mutter erkannte schon früh, dass ihr Leo außerordentlich begabt war und förderte ihn entsprechend. Bereits mit 17 Jahren schrieb sich Baekeland an die Universität seiner Heimatstadt Gent ein. Auch hier wurde sein Talent schnell erkannt. Mit bereits 21 Jahren hatte er seinen Doktor Titel – summa cum laude. An der Genter Universität wurde Baekeland 1889 Professor. Hier lernte er auch seine spätere Frau Celine kennen, die Tochter seines Doktorvaters. „Jahrzehnte später wird Baekeland sagen: Die größte Entdeckung, die ich jemals gemacht habe, war – Celine.“[59] Die beiden heirateten im August 1889 und wanderten kurze Zeit später in die USA aus.

 

Baekelands Erfindergeist war zwar begleitet von persönlichen Interesse und Forscherdrang, jedoch war er keinesfalls ein Idealist, sondern weitestgehend von finanziellen Motiven getrieben. Baekeland konnte sich mit dem Geld aus dem Kodak-Deal eine Villa in Yonkers (Staate New York) leisten, hinzu kamen ein Auto und eine Yacht, mit denen er zum Teil haarsträubende Touren unternahm. Nun kann man die Hypothese aufstellen, dass Baekeland aus Geldgier an der Formaldehyd-Reaktion zu forschen begann. Jedoch hatte er Kodak versprochen, die nächsten 20 Jahre nicht an Fotochemikalien zu forschen, Baekeland war quasi arbeitslos.

 

Mit fünfunddreißig war ich auf einmal ein freier Mann, der in angenehmen finanziellen Verhältnissen lebte, und konnte mich meinen Lieblingsstudien zuwenden. Damals begann wirklich die allerglücklichste Zeit meines Lebens. Ich verwandelte eines der Gebäude meines Wohnsitzes in Yonkers in ein bescheidenes aber ausreichend eingerichtetes Labor. Von da an konnte ich nach meinem Belieben an verschiedenen Problemen arbeiten. Auf diese Weise erfreute ich mich mehrere Jahre lang jenes segensreichen, luxuriösen Zustandes, bei meiner Lieblingsbeschäftigung nicht unterbrochen zu werden.[60]

 

Baekeland suchte also aus reiner Forscherfreude nach einem Schellack-Ersatz. „Woran der Doktor eigentlich arbeitete, das wußten nur Leo selbst und sein Assistent“[61]

Wie sich zeigen wird, hatte Baekeland auch ein außerordentliches Talent als Geschäftsmann. Er schaffte es, aus seinem selbst eingerichteten Laboratorium eine weltweit erfolgreiche Firma zu gründen. Ursprünglich wollte Baekeland sich aus der Vermarktung von Bakelite heraushalten und allein an den Erträgen seiner Nutzungsrechte verdienen.[62] „Er musste jedoch feststellen, dass man auf Seiten der Industrie nicht gewillt war, sein relativ einfaches Verfahren im großen Maßstab einzusetzen.“[63] Wie bereits dargelegt, führte sein Artikel in der „Chemiker Zeitung“ zur gewünschten Kooperation.

 

„Eine „Time“-Ausgabe von 1924 zeigt auf dem Cover den Erfinder des Bakelites; Baekeland war bereits damals eine bekannte Persönlichkeit.“[64] Seine Erfindung hielt Einfluss in alle Bereiche des Lebens. „Bakelite ist ein klassisches Beispiel dafür, daß ein neuer Werkstoff weitreichende soziale Folgen haben kann.“[65] Ein besonderes Beispiel hierfür ist die durch Bakelite ermöglichte Massenanfertigung von Radios. Zunächst kosteten die aus Holz gedrechselten Radios in den USA um die 400 $.[66] Bereits Anfang der 1930er Jahre wurden kleine Radios für knapp 10 $ angeboten. Bald gab es in den USA kaum einen Haushalt ohne Rundfunkempfänger. Den Nationalsozialisten war die Wirkung des Propagandamittels Radio bewusst. Sie forcierten die Entwicklung des Volksempfängers, im Volksmund „Goebbelsschnauze“ genannt, was den Verkauf nicht hinderte und es blieben die ersten 100.000 Geräte mit der Bezeichnung VE 301 keine acht Stunden in den Regalen stehen. Das Radio war der erste Schritt zur Vernetzung der Welt.


 

 

 

 

 

 

 

 

 

 

 

 

 

 

 

 

 

 

 

 

 

 

 

 

 

 

 

 

                                                             Abb. 2
                                  

Diese Arbeit verfolgt die These, dass die Erfindung des Bakelites nicht nur viele Technologien und Erfindungen jener Zeit ermöglichte, sondern die Grundlage der zweiten industriellen Revolution bildete, die von Chemie und Elektrotechnik geprägt war. Folglich war die Entwicklung des Bakelites eine logische Fortsetzung der ersten industriellen Revolution, indem es auf das Gusseisen folgte.[67] „Eine gusseiserne Infrastruktur besiedelte unsere Landschaft, während Bakelit in unseren Haushalten vorherrschte.“[68]

 

Baekeland erhielt im Laufe seines Lebens viele Auszeichnungen und wurde für sein Schaffen gebührend geehrt. Zudem übte er zahlreiche Funktionen aus. Baekeland war Präsident bedeutender wissenschaftlicher Verbände und Organisationen. Bereits 1913 war er Vorsitzender der „Electrochemical Society“, 1912, in selber Position bei dem „American Institution of Chemical Engineers“ und des Weiteren 1924  ebenfalls Vorsitzender der „American Chemical Society“. „Unter den vielen Auszeichnungen, die Baekeland erhielt, sind die Nichols-Medaille, die Willard-Gibbs-Medaille der „American Chemical Society“ (1909 und 1913), die John-Scott-Medaille des Franklin-Instituts (1910) und die Perkin-Medaille für industrielle chemische Forschung (1916).“[69]

Zudem war er zwischen 1917 und 1944 Honorarprofessor an der New Yorker Columbia Universität.

 

Als 1939 in Europa der Zweite Weltkrieg heraufzog, sah Baekeland die Zeichen der Zeit und verkaufte die Bakelite General, deren Vorsitzender er bis dato war, mit allem was dazugehörte an Union Carbide.[70] Als Baekeland einen dreistelligen Millionen-Dollar-Betrag erhielt, befand sich er sich schon seit Jahren im Vorruhestand und verbrachte immer mehr Zeit in seiner neuen Winterresidenz in Coconut Grove, Florida.[71]  Hier schrieb er 1934 Folgendes in einem Brief an einen New Yorker Freund: „If I had my life to life over again…. I would not hesitate to devote my best endeavors to biochemical research. The future of mankind depends on this subject.[72] Baekeland bedauerte also, dass er seine Forschertätigkeit nicht zum Besseren der Menschheit eingesetzt hat. Seine Verzweiflung zeigt sich wie folgt: „…oft he helter-skelter methods of our vaunted homo sapiens, misguided by … ignorance and politicians. If we continue our ways… the human race may follow the road of former living races of animals whose fossils proclaim that they were not fit to continue“.[73] Er hatte wegen der unzähligen militärischen Anwendungen des Bakelites erhebliche Schuldgefühle.[74] Jedoch sah er in der Wissenschaft die Lösung der gesamtmenschheitlichen Probleme: „Religion …laws …morals… not enough. We need more. Science can help us“.[75]

Baekelands Schuldgefühle drückten sich in der Wandlung seines Lebensstils aus. „Von Natur aus genügsam und mönchisch veranlagt, aß er in seinen letzten Jahren nur Suppen und Bohnen direkt aus der Dose und schlief in einem spartanischen Raum, der bis auf eine einfache gußeiserne weiße Bettstelle unmöbliert war.“[76] „In der Hoffnung, für seinen grenzenlosen Reichtum Buße zu tun, legte er sich ein zerschlissenes altes Käppchen zu, das ihm das verhutzelte Aussehen eines Gelehrten gab, der nicht von dieser Welt war.“[77] Baekeland verstarb  1944 im Alter von 81 Jahren.

 

Die betrachteten und noch beschrieben werdenden Lebensumstände Baekelands, einhergehend mit der Erfindung des Bakelites, sind bisher von wenigen Veröffentlichungen in  deutscher Sprache abgehandelt worden. Zunächst sind zwei Essays zu nennen, die beide im Rahmen des 100 jährigen Bakelite-Jubiläums verfasst wurden und die eine ganzheitliche, wenn auch kurz gefasste Darstellung geben, jedoch von wichtiger Bedeutung für diese Arbeit sind. So haben die bereits erwähnten Dietrich Braun und Gerd Collin gemeinsam den Artikel „100 Jahre Bakelit“[78] verfasst, der 2010 erschien.

Bereits 2008 erschien, ebenfalls bei Wiley-VCH, das Essay „100 Jahre Bakelit: das Material für 1000 Anwendungen“[79]. Sie stellen den aktuellen Forschungsstand in deutscher Sprache dar.

Zwei Autoren sind jedoch von nicht minder großem Wert für meine Darstellung. Einerseits Stephen Fenichell, der 1997 sein Buch „Unser synthetisches Jahrhundert“[80] in Kapitel 4 „Die Bakelitbrigade“ nicht nur das Leben Baekelands, sondern auch die Erfindung des Bakelites auf über 20 Seiten detailliert dargelegt hat.

Andererseits Udo Tschimmel mit seinem 1989 erschienenen Buch „Die Zehntausend-Dollar-Idee. Kunststoff-Geschichte vom Zelluloid zum Superchip“[81]. In dem Kapitel „Kennzeichen B: Revolution mit Bakelit“, das sich mit dem mit Leben und den Erfindungen Baekelands befasst, gibt es eine ähnlich detaillierte Darstellung wie bei Fenichell, jedoch mit anderen Schwerpunkten. Des Weiteren beschäftigt sich Tschimmel im nachfolgenden Kapitel „Das Radiofieber“ mit Bakelite-Objekten, insbesondere dem Radio.

 

Die aktuellste Darstellung über Baekeland findet sich jedoch in dem 2011, in englischer Sprache erschienenen Sammelband „100+ Years of Plastics. Leo Baekeland and Beyond“[82]. Die hier zitierten Autoren stellen eine wichtige Grundlage dieser Arbeit dar. Folglich entspricht dieses Buch dem allerneuesten Forschungsstand.

Ebenfalls in englischer Sprache ist das 1995 erschienene Buch „American Plastic“[83] von Jeffrey L.  Meikle. Dieser schildert in dem über 30 Seiten umfassenden Kapitel „Bakelite: Defining An Artficial Material“ neben dem Lebenslauf Baekelands teils sehr detailreich den Erfindungsprozess des Bakelits. Wichtig für diese Arbeit ist jedoch vor allem die Darstellung Meikles bezüglich der Patentstreitigkeiten einhergehend mit der Gründung und weiteren Geschichte der „Bakelite Corporation“. Auch 1995 erschien das Buch „Of Bicycles, Bakelites, and Bulbs“[84] von Wiebe E Bijker. Dieser untersucht in dem Kapitel „The Fourth Kingdom: „The Social Construction of Bakelite“ vor allem die soziokulturellen Auswirkungen, die die Erfindung des Bakelites mit sich brachten.

 

Insbesondere für die Darstellung Baekelands weiteren Lebens in Kapitel 6) wurde aus der schon 1946 erschienenen, von der „National Academy of Science“[85] herausgegebene Biographie Baekelands von Charles F. Knettering, zitiert, deren Internetversion entsprechend angegeben wurde.

 

Diese Arbeit kann und wird den Lebensweg Baekelands und seine Entdeckungen, insbesondere des Bakelites, nicht neu erfinden, stellt jedoch in ihrer Gesamtkonzeption eine Neuerung dar, weil sie ausführlich und themenübergreifend die Bedeutung Baekelands und des Bakelites für die damalige und heutige Zeit behandelt. Bisher gibt es noch keine Darstellung, die die chemisch-technischen, wirtschaftlich-sozialen, kulturellen und biographischen Gesichtspunkte so detailliert ausführt. Aufgrund dessen erhebt diese Arbeit den entsprechenden Anspruch. Um diesem im gegebenen Sinne zur Geltung zu verschaffen, wurde die folgende, teilweise schon erwähnte Herangehensweise für diese Arbeit gewählt: Die Konzeption verfolgt das Ziel, dem Leser methodisch die Thematik näherzubringen. Neben dem hier einleitend gegebenen Abriss der Kunststoff-Geschichte soll zunächst die Besonderheit des Begriffs „Kunststoff“ belegt werden. Nach diesem Verständnis folgt das Kapitel „Was ist Bakelite?“. Diese Frage muss gestellt werden, um die Geschichte, die Chemie und daher den Entdeckungsprozess des Bakelites verständlich zu machen. Folglich  werden zunächst die substanzielle Zusammensetzung sowie die verschiedenen Zustandsarten des Bakelites beschrieben, um damit einhergehend detailliert die Herkunft der Rohstoffe darzulegen. Insbesondere die Eigenheiten des Steinkohlenteers sind hier von Belang, weil diese Arbeit nicht nur, aber auch der These und somit der Frage nachgeht, wie es sein konnte, dass aus einem Abfallstoff ohne jegliche Verwendung ein Produkt mit „unendlich“ vielen Anwendungsmöglichkeiten und einem derart hohen technischen Wert erfunden werden konnte.

Um die Forschungen Baekelands und den Erfindungsweg des Bakelites herleiten zu können, soll in Kapitel 3.3) ein chemisches Grundverständnis vermittelt werden. Des Weiteren erfolgt eine wichtige Differenzierung zwischen dem reinen Bindemittel Bakelite und den mit diesem Bindemittel hergestellten „duroplastischen“ Formmassen.

Der Lebensweg Baekelands hin zur Erfindung des Bakelites wird in Kapitel 4) behandelt werden. Dieser Abschnitt ist deshalb wichtig für diese Arbeit, und nicht nur rein obligatorischer Natur, da die hier beschriebenen Lebensumstände und sozialen Aspekte Bestandteil des Erfindungsprozesses sind.  Wie der Artikel in der „Chemiker Zeitung“ belegt, handelt es sich bei der Entwicklung des Bakelites um eine Individualleistung. Dieser Artikel wird in vollem Umfange übernommen, weil Baekeland in ihm selber seine Forschungen präsentiert.

Es darf nicht unerwähnt bleiben, dass Baekeland nicht der eigentliche Initiator der Forschungen über die Synthese eines Harzes auf Phenol-Aldehyd Basis war. Bedingt durch seine finanzielle und berufliche Unabhängigkeit war er im Stande, seine Forschungen über Phenol-Harze über Jahre hinweg zu führen. Durch seine Beharrlichkeit, seine Expertise und sein unkonventionelles Denken erzielte er  das gewünschte Ergebnis. Nach Abhandlung der „Chemiker Zeitung“ folgt methodisch Kapitel 5) Bekanntmachung, Patentierung und Vermarktung von Bakelite.

Baekelands Erfolg beruhte auch darauf, im richtigen Moment die richtigen Entscheidungen zu treffen. In damaligen Deutschen Reich war ein wichtiger Wirtschaftsfaktor die aufstrebende chemische Industrie. Warum nur Weger und damit Rütgers sich für die Patentrechte interessierten und letztendlich erwarben, lässt sich auch abschließend nicht klären.[86] Baekelands Artikel kam zwar seinem Zweck nach, jedoch war die Resonanz trotz des revolutionären Charakters der beschriebenen Erfindung in jeglicher Weise verhalten. Die aufgezeigte Geschichte der Rütgers-Werke spielt deshalb eine Rolle, weil hier erstmals Bakelite und damit ein vollsynthetischer Kunststoff im industriellen Maßstab produziert wurde. Der Erfolg des Bakelites ist somit ebenfalls eng mit den Rütgers-Werken verbunden und nimmt seinen Lauf bis in die heutige Zeit. Nach der Kooperation mit den Rütgers-Werken im Jahr 1910 gründete Baekeland im selben Jahr in den USA die General Bakelite Co. Sogleich ergaben sich Patentstreitigkeiten, deren weiterer Verlauf bis hin zu den beginnenden 20er Jahren andauerten. Die patentrechtlichen Auseinandersetzungen und die Geschichte der Bakelite Corporation sind in einem Abschnitt zusammengefasst, da diese eng miteinander verbunden sind.

Hier wird deutlich, dass Baekeland in keiner Weise bereit war, auf seine Patentansprüche zu verzichten, jedoch später Kompromisse eingehen musste. Weiterhin wird deutlich, dass er nicht nur eine reine Forschernatur war, sondern auch in Geschäftsdingen und Vermarktungsfragen gezielt seine Interessen verfolgte.

 

In Kapitel 7) Bakelite – „The Material of Thousand Uses“ soll zunächst mit einem Artikel der Zeitschrift „Kunststoffe“[87] von 1912 belegt werden, welche Anwendungsvielfalt und technischen Möglichkeiten schon damals erkannt wurden. Der technische Wert des Bakelites führte zu weitreichenden sozialen und kulturellen Veränderungen. Das Serienpressverfahren ermöglichte eine Massenproduktion von Gebrauchsgütern, die schnell die Lebensgewohnheiten der Menschen veränderten und prägten. Die Standardisierung insbesondere von elektronischen Geräten ergab einen Preisverfall, der ihre Verbreitung nicht nur begünstigte sondern auch forcierte. Im Abschnitt Bakelite und Design werden Objekte, Gebrauchsgüter und elektronische Geräte betrachtet werden, um auch dem kunsthistorischen Aspekt des Themas gerecht zu werden. Hier findet sich die Überleitung zur These: Die damals aufstrebende Elektroindustrie konnte erst durch die Erfindung des Bakelites einen Massenmarkt erschließen. Die beginnende Vernetzung der Welt durch Telefone und Radios wurde erst möglich. So wird die These aufgestellt, dass Bakelite nicht nur der Beginn des Kunststoffzeitalters war, sondern  daraus resultierend auch der des Informationszeitalters. Folgend erschließt sich am Gesamtkonzept dieser Arbeit die nochmals die Frage, wie es sein konnte, dass aus dem wertlosen Abfallstoff  Phenol und einer leicht zugänglichen und billigen Chemikalie wie Formaldehyd sich ein Stoff erzeugen ließ, der so weitreichende technologische und soziale Umwälzungen mit sich brachte. Kein Material eignete sich im 20. Jahrhundert für preiswerte Massenprodukte so gut wie Kunststoffe, die mit Bakelite ihren Anfang nahmen.[88]

Die These soll zeigen wie die Erfindung eines Stoffes nicht nur wirtschaftliche sondern auch soziale Änderungen mit sich brachte. Im Fall des Bakelites sublimierte sich dieser Zusammenhang. So wurden nicht nur technische Geräte preiswerter und für die Massen erschwinglich, sondern diese führten auch zu kulturellen, und somit gesamtgesellschaftlichen Veränderungen, deren Entwicklung heutzutage durch die so erst ermöglichte Medien- und Informationsgesellschaft repräsentiert wird. Diese Entwicklung nahm ihren Anfang im Maschinenzeitalter, das einherging mit der zweiten Industriellen Revolution, die vor allem auf Entwicklungen in der Chemie und Elektrotechnik basierte. Die ökonomischen und gesellschaftlichen Auswirkungen der noch jungen Massenproduktion machten sich insbesondere im Transportwesen und in der Konsumgüterindustrie bemerkbar.[89] Die Erfindung des Bakelites war hierzu das bedeutendste Puzzle-Teil. Es beschleunigte den Entwicklungsprozess der Elektrifizierung und folgend Elektroindustrie derart, dass behauptet werden kann, dass Baekelands Erfindung einen beispielslosen Stellenwert einnimmt.

Diese Arbeit folgt der Entwicklung des Bakelites. Baekelands Geschichte und sein Lebensweg sind ebenso bedeutsam wie seine Erfindung selbst. Was wären wir ohne Bakelite?

 

2.) Kunststoff – ein deutsches Wort

 

Laut Duden wird der Begriff Kunststoff wie folgt definiert: „Vollsynthetisch oder durch Umwandlung von Naturprodukten hergestellter Werkstoff, der in vielen verschiedenen Arten und für die verschiedensten Zwecke gebraucht wird“.[90]

Um 1910, also kurze Zeit nach der Patentierung von Bakelite, wurde der Begriff durch den Chemiker Dr. Ernst R. Escales (1863-1924) geprägt, welcher die gleichnamige  Zeitschrift „Kunststoffe“ gründete und damit gleich eine Werkstoffklasse benannte, die gerade im Entstehen war.[91] Bei seiner Wortschöpfung dachte er vor allem an künstlich erzeugte und nicht in der Natur entstandene Stoffe, zumal damals schon Worte wie Kunstseide, Kunstfasern, Kunstharze usw. gängig waren.[92] „Das Wort „Kunststoff“ blieb jedoch eine Eigenheit der deutschen Sprache.“[93] In den meisten anderen Sprachen wurde an Stelle des herkunftsbezogenen Begriffs eine vom plastischen Verhalten dieser Stoffklasse abgeleitete Bezeichnung verwendet.[94] Während man sich dabei relativ rasch auf Namen wie beispielsweise „plastics“ (englisch), „matière plastique“ (französich) oder plastmass (russisch) festlegte, konnte man sich im Deutschen lange nicht auf einen Namen einigen.[95]

 

Für Kunststoffe war bis in die 1930er Jahre noch der Begriff plastische Massen verkehrsüblich, man verstand darunter Schnitzstoffe, Pressmassen, Pressgut-(Spitzguss-) und Schichtstoffe auf der Grundlage von Cellulose, Kunstharzen und Eiweißstoffen.[96] „Im weiteren Sinne gehörten dazu auch Massen aus natürlichen Ölen und Harzen, z.B. für Linoleum oder Schallplatten.“[97] „Obwohl der Begriff Kunststoff ab etwa 1930 zunehmend gebräuchlicher wurde, hat der Wortbestandteil „Kunst“ noch lange zu zahlreichen, vom wissenschaftlichen oder technischen Sinn ablenkenden Diskussionen geführt, zumal die meisten Menschen mit dem Wort Kunst den aus dem Althochdeutschen stammenden Begriff „etwas zu können“ und im weiteren Sinne auch die Gesamtheit des nicht von der Natur Hervorgebrachten verbanden“[98] „Dementsprechend assoziierte man mit „Kunststoff“ oft etwas künstlich Entstandenes und daher häufig auch weniger Wertvolles.“[99] Ab den 1950er Jahren, bedingt durch das Wirtschaftswunder, wurden Kunststoffe jedoch zum Synonym für preisgünstigen Wohlstand und ein neues Lebensgefühl.[100] Zur selben Zeit kam es zu einer Nomenklatur-Diskussion. So empfahl der deutsche Normenausschuss neben dem Wort „Polyplaste“, auch die Begriffe „Plastik“ und „Plaste“. Letzterer Begriff wurde in der DDR offizieller Sprachgebrauch bis hin zur Wiedervereinigung, auch wenn er häufig einen etwas abwertenden Beiklang besaß. Um 1960 wurde in der BRD das Wort Kunststoff allgemein eingeführt. Der im deutschen umgangssprachlich  häufiger verwendete Begriff „Plastik“ wurde dabei aus dem Englischen hergeleitet.

 

3.) Was ist Bakelite?

 

Wie bereits eingangs dargelegt, gelang es Leo Baekeland als erstem die Herstellung eines Phenolharzes (Bakelite) durch die Kondensation von Phenol und Formaldehyd. So soll in  diesem Kapitel auf die chemische Konstitution von Bakelite sowie auf die Herkunft seiner Bestandteile, insbesondere der des Phenols, eingegangen werden, um zunächst dem Leser ein Verständnis zu geben, was Bakelite ist. Die in diesem Kapitel vermittelten Grundlagen dienen dem besseren Verständnis der Entdeckungsgeschichte des Bakelites, insbesondere von der Abhandlung Baekelands in der „Chemiker Zeitung“.

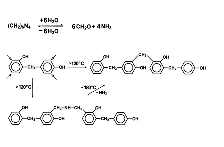
So stellte Baekeland bereits den Unterschied zwischen sauer und alkalisch kondensierten Phenolharzen fest und führte die Begriffe Novolak  bzw. Bakelite A, B und C, seit 1909 nach H. Lebach auch Resol, Resitol und Resit genannt, ein[101] „Diese Klassifizierung genügte so lange allen Ansprüchen, als man über den Bau dieser Harze, insbesondere der gehärteten Produkte, keine eingehenden und sicheren Kenntnisse hatte und dementsprechend zwischen einzelnen Produkten  mit einigermaßen gleichen Eigenschaften nicht zu unterscheiden wußte.“[102] Folglich war Baekeland zunächst die genaue chemische Zusammensetzung von Bakelite nicht bekannt. Als Bakelite oder auch Resit bezeichnet man ganz allgemein alle Phenolharze, die in organischen Lösungsmitteln unlöslich und unquellbar sind, in der Hitze nicht mehr erweichen, sondern nur verkohlen und die vor allem auch eine beträchtliche mechanische und chemische Widerstandsfähigkeit aufweisen.[103] So zeigt das dreidimensionale Strukturmodell des Resits Ähnlichkeiten mit der ebenfalls unlöslichen und unschmelzbaren Kohle auf.[104] Vorstufen des Resits sind die „Resole“, die sich durch Alkali- oder Ammoniak-katalysierte Polykondensation von Formaldehyd mit Phenol und/oder seinen Homologen, die sämtlich im Rohphenol des Steinkohleteers vorkommen, bilden.[105]

 

 

3.1) Grundlegende Eigenschaften der Phenolharze

 

In diesem Abschnitt  sollen  grundlegenden Eigenschaften der Phenolharze und somit auch die des Bakelites skizziert werden.

 

Zunächst die chemischen Bestandteile von Bakelite:

 

Phenol (Karbolsäure): Hierbei handelt es sich um einen Bestandteil des Teers, der beim Verkoken und Verschwelen von Steinkohle anfällt und daraus durch Destillation gewonnen wird.[106] „Auch aus Benzol kann auf chemischen Wege Phenol hergestellt werden.“[107] „Reines Phenol ist bei gewöhnlicher Temperatur eine weiße, kristallisierte Masse und schmilzt bei 40 Grad zu einer klaren Flüssigkeit.“[108] Es ist ein chemisch einheitlicher Stoff, der ein Erzeugnis von Kokereien, Gasanstalten und chemischen Fabriken ist.[109]

                                                       

Kresol (Kresylsäure): Ist ebenfalls im Teer enthalten, ist aber im Gegensatz zum Phenol nicht einheitlich, sondern ein Gemisch von drei chemisch verschiedenen wirksamen Bestandteilen, dem Metakresol, dem Parakresol und dem Orthokresol.[110]

 

Formaldehyd: Ist ein Gas, das sich aus Holzalkohol extrahieren lässt und sich leicht in Wasser löst, dabei wird es zu dem bekannten scharf riechenden, für Desinfektion gebräuchlichen Formalin.[111]

„Die Grundstoffe Phenol (oder Kresol) und Formaldehyd gehen nun unter bestimmten Bedingungen eine chemische Verbindung ein und bilden einen neuen Stoff mit ganz anderen Eigenschaften als die Grundstoffe:

 

Phenolharze werden in Abhängigkeit von den Reaktionsbedingungen unterschieden. So bilden sich auf der einen Seite wie folgt dargestellt die Resole, Resitole und Resite im basischen Bereich:

 

Bakelite-Harz im A-Zustande oder Resol-Zustande: In diesem Anfangszustande ist das Kunstharz noch flüssig wie Honig oder je nach den Arbeitsbedingungen bei der Herstellung, auch fest, wie z. B. Fichtenharz. Aber auch das feste A-Harz erweicht und schmilzt bei gelinder Wärme, und es ist löslich in bestimmten Lösungsmitteln, z.B. in Spiritus und in Aceton. Wird aber das geschmolzene Harz länger oder bei höherer Temperatur erhitzt, so geht es überraschenderweise in der Hitze wieder in den festen Zustand über. Es „gefriert“ gewissermaßen, wird unschmelzbar und widersteht nun der Einwirkung oben genannter Lösungsmittel.“[112]

 

Bakelite-Harz im B-Zustande oder Resitol-Zustande: Hierbei handelt es sich um eine Zwischenstufe bei dem Härtungsvorgang.[113] „Das Harz ist in der Hitze noch formbar, aber nicht mehr löslich. Sowohl in den Bakelite-Preßmassen als im Bakelite-Preßharz liegt das Kunstharz größtenteils in diesem Zwischenzustande vor.“[114]

 

Bakelite-Harz im C-Zustande oder Resit-Zustande: Es Ist das Ergebnis des Härtevorgangs.[115] „Es hat neue, wertvolle Eigenschaften, wie Festigkeit, Wärmebeständigkeit und chemische Widerstandsfähigkeit, die es unterscheiden vom ursprünglichen Harz.“[116] „Die durch Wärmezufuhr oder durch chemische Zusätze erfolgende Härtung, d. i. der Übergang in

C-Harz, unterscheidet das Bakelite-Kunstharz von allen Naturharzen.“[117]

 

„Sämtliche Bakelite-Sorten fallen in der Fabrikation in löslicher schmelzbarer Form an und werden fast ausnahmslos in diesem Zustand meist im Gemisch mit Füllstoffen zur Weiterverarbeitung geliefert. Erst durch die Härtung wird das Bakelite unlöslich und unschmelzbar.

„Die Härtung des Bakelite erreicht man im Allgemeinen durch längere, oft mehrstündige Einwirkung von Temperaturen zwischen 140 und 180° C. Bei verschiedenen Sorten genügen allerdings schon Temperaturen zwischen 90 und 100° C. Gewisse Bakelite-Produkte lassen sich durch Zusatz von Härtungsmitteln sogar bei Zimmertemperatur im Verlauf von 1 bis 2 Tagen und schneller aushärten. In vielen Fällen führt man den Härtungsprozeß unter gleichzeitiger Einwirkung von Druck und Hitze durch, entweder in heizbaren Druckkesseln (Bakelisatoren) oder mit Hilfe geheizter Preßformen. Die Härtung unter Druck bietet dadurch bedeutende Vorteile, daß man in kürzerer Zeit aushärten, ohne Lunkerbildung im Inneren der Formstücke oder Blasenbildung an der Oberfläche befürchten zu müssen.“[118]

 

Im sauren Bereich hingegen bilden sich die Novolake:

 

„Die farblosen, rosa, gelblich oder braun gefärbten Novolake stellen in ihrem Aufbau die einfachste Form von Phenolharzen dar.“[119] „Novolake sind thermoplastisch, sie können jedoch, und dies macht ihre große technische Bedeutung aus, über noch reaktive Positionen an den Phenolkernen durch Zugabe von Vernetzern. Der bekannteste ist hier Hexamethylentetramin, oder ggf. durch Co-Reaktion mit Resolen, Aminoplasten oder Epoxidharzen in ein engmaschiges dreidimensional verknüpftest Raumgitter überführt werden.“[120]

 

3.2) Herkunft und Eigenheiten der Rohstoffe

 

Die benötigten Rohstoffe für Bakelite sind, wie im Abschnitt zuvor benannt, Phenol, Kresol und Formaldehyd. So waren und sind Phenol und  Kresol nicht nur leicht zugänglich sondern es handelt sich bei ihnen sogar um Destillate eines Abfallstoffes in Form von Steinkohleteer.

Hier soll zunächst die Grundlage für die These gelegt werden, inwieweit es Zufall war, dass Baekeland aus einem Abfallstoff  und einer leichtzugängigen und preisgünstigen Chemikalie wie Formaldehyd ein hochwertiges und neuartiges Produkt wie Bakelit kreieren konnte.

Folglich stand das anfänglich aus der Teerdestillation gewonnene Phenol in ausreichender Menge zur Verfügung.[121] „Seine zunehmende Bedeutung als ein vielseitiger und reaktionsfreudiger Chemierohstoff führte dann in den 30er Jahren zur Entwicklung verschiedener Teerunabhängiger Synthesen.“[122] „Heute wird Phenol praktisch ausschließlich nach dem Cumolverfahren in kontinuierlichen Anlagen der Großchemie erzeugt.“[123] „Die neben dem Phenol in kleineren Mengen eingesetzten Homologe Kresol und Xylenol stammen dagegen bis heute noch weitgehend aus der Teerdestillation.“[124]

 

3.2.1) Herkunft und Geschichte des Steinkohleteers

 

„Unter „Teer“ versteht man flüssige bis halbfeste Erzeugnisse, die durch zersetzende thermische Behandlung organischer Naturstoffe gewonnen werden.“[125] „Die Teerchemie, der wohl älteste Zweig der Kohlechemie, ist in ihrer Entstehung und Entwicklung eng verbunden mit der Entwicklung der Eisen- und Stahlindustrie, der Herstellung von Leuchtgas, der Holzimprägnierung und schließlich der organisch-chemischen Industrie, deren Rohstoffbasis zunächst vornehmlich Teerinhaltsstoffe waren.“[126]

„Als Entdecker des Steinkohlenteers gilt der deutsche Kulturphilosoph und Chemiker Johann Becher.“[127] „Becher, 1635 in Speyer geboren, siedelte nach England über, dessen industrielle Entwicklung damals dem Kontinent weit vorausgeeilt war.“[128] „Er suchte nach einem aus Kohle herstellbaren Produkt, das als Ersatz für Holzteer dienen konnte.“[129] „Am 19.8.1681 erhielten Becher und Serle das englische Patent Nr. 214 zur Herstellung von Pech und Teer aus Kohle.“[130] Holzteer, für den Becher einen kohlestämmigen Ersatz gefunden hatte, war bereits im Altertum bekannt.[131] Wie Plinius berichtete, benutzten schon die Ägypter den Holzteer wegen seiner konservierenden und antiseptischen Eigenschaften zum Abdichten ihrer hölzernen Schiffe und zum Einbalsamieren von Toten.[132]

„Finnische, russische und schwedische Holzteere waren im 17. Jahrhundert bedeutende Handelsgüter, die im großen Umfang ihren Weg nach England nahmen, wo wegen der großen Holzknappheit besonders intensive Versuche zur weitest möglichen Umstellung von Holz auf Kohle durchgeführt wurden.“[133] So wurden im Jahre 1779 in Bristol die ersten Versuche gemacht, den für den Schiffsbau dringend benötigte Teer durch Verkokung von Steinkohle zu gewinnen.[134] „Der entscheidende Anstoß für den Aufbau der Teerindustrie aber kam durch die Einführung der Eisenbahn.“[135] „Zwar wurden die ersten Schienen auf Steinwürfeln verlegt, doch setzte sich sehr bald die Verwendung hölzerner Schwellen durch, die mit Steinkohlenteeröl imprägniert waren, da sie sonst rasch verrotteten.“[136]

Die Erfindung der synthetischen Teerfarbstoffe führte in der zweiten Hälfte des

19. Jahrhunderts dazu, dass sich weitere Anwendungsgebiete für den Steinkohlenteer eröffneten.[137] Dieser fiel im Verlauf der Industriellen Revolution als flüssiges, zunächst unerwünschtes Nebenprodukt der Kohleverkokung zu Hüttenkoks für die Eisenproduktion und zur Leuchtgasgewinnung in steigenden Mengen an. Folglich wurden weitere, als Synthesebausteine benötigte, aromatische Grundchemikalien, im Vielstoffgemisch Teer entdeckt und entsprechende Verfahren zu deren Auftrennung entwickelt. Zusätzlich zur insbesondere in Deutschland bis zum 1. Weltkrieg aufblühenden Teerfarbenindustrie traten bis zum Ende des 19. Jahrhunderts als weitere neue Anwendungsgebiete für Steinkohlenteerprodukte die Elektrotechnik und Elektrochemie mit ihren Bedarf an elektrisch leitenden und isolierenden Werkstoffen. Insbesondere die Erfindung von Bakelite erschloss diese neuen Anwendungsgebiete. So wurde die Steinkohlenteerchemie zum Wegbereiter der zweiten Industriellen Revolution.

„Mit dem Übergang der Kohle- zur Petrochemie verlor der Steinkohlenteer in der zweiten Hälfte des 20. Jahrhunderts schrittweise seine herausragende Bedeutung als Rohstoffquelle der industriellen Aromatenchemie und damit verbundene Arbeitsgebiete.“[138]

 

3.2.1.a) Zusammensetzung des Steinkohlenteers

 

„Steinkohlenteere sind viskose, dunkelbraune bis schwarze, bei Zimmertemperatur zähe Flüssigkeiten mit einem durch den Gehalt an Naphthalin, Phenolen, Pyridinbasen und Ammoniakwasser bedingten charakteristischen Geruch.“[139] „Die Eigenschaften und die Zusammensetzung der Teere werden durch die Art der Ausgangskohle, die Höhe der Verkokungstemperatur und die Dauer der Verkokung bestimmt.“[140] So wird die Anzahl der Inhaltstoffe auf 10.000 geschätzt.[141] Zwischen 1820 und 1849 wurden im Steinkohlenteer 10 chemische Verbindungen entdeckt, u.a. 1834 das für diese Arbeit bedeutende Phenol.[142] „In der zweiten Hälfte des 19. Jahrhunderts sollte sich dann die Zahl der aufgefundenen Teerinhaltsstoffe als chemische Individuen dank systematischer Forschung auf rund 100 mehr als verzehnfachen.“[143]

 

3.2.1.b) Extraktion des Phenols und des Kresols aus Steinkohleteer

 

„Der Steinkohlenteer wird bei der destillativen Aufarbeitung zunächst meist in sechs Fraktionen aufgeteilt, nämlich Leichtöl, Carbolöl, Naphtalinöl, Waschöl, Anthracenöl und den verbleibenden Destillationsrückstand, das Pech.“[144] Für diese Arbeit relevant ist jedoch nur das Carbolöl, da in diesem das für die Synthetisierung von Bakelite benötigte Rohphenol enthalten ist.

„Das zwischen 180 und 210 °C siedende Carbolöl, das bei der destillativen Aufarbeitung des Steinkohlenteers in einer Menge von 2-3% anfällt, enthält außer Benzolhomologen, Naphthalin und Pyridinbasen 30-35% Phenole, die aus einem Gemisch von Phenol, Kresolen und Xylenolen (Dimethylphenolen) bestehen.“[145]

„Die Entphenolung des Carbolöls und der sonstigen phenolhaltigen Öle ist durch vier Hauptarbeitsgänge gekennzeichnet:

 

1.      Die Auslaugung des Öls mit verdünnter Natronlauge zur Gewinnung der rohen Phenolatlauge,

2.      die Raffination der rohen Phenolatlauge,

3.      die Fällung des Rohphenols aus der raffinierten Phenolatlauge mit Kohlendioxid bei gleichzeitiger Bildung von Sodalösung,

4.      die Regenerierung der Natronlauge durch Kaustifizierung der Sodalösung mit Calciumoxid (gebranntem Kalk).“[146]   

 

Das zunächst durch Natronlauge-Extraktion gewonnene Rohphenol enthält bis zu 20% Wasser und normalerweise etwa 2% Alkali.[147] Folglich geht der eigentlichen destillativen Zerlegung des Rohphenols zunächst die Entwässerung voraus.[148] „Sie geschieht ebenfalls durch Destillation, die sowohl bei Atmosphärendruck als auch unter Vakuum durchgeführt werden kann.“[149] „Als Destillat fällt ein azeotropes Gemisch an, wobei bei der Vakuumentwässerung die Menge der mit Wasser übergehenden Phenole geringer ist als bei der atmosphärischen Destillation.“[150] „Die Hauptbestandteile eines aus Steinkohlenteer gewonnenen wasser-freien Rohphenolgemisches sind Phenol, o-, m- und p-Kresol, 2.6-, 2.4-,2.5-,2.3- und 3.5-Dimethylphenol (Xylenol) sowie geringe Mengen Trimethylphenole und höher siedende Phenole.“[151] „Die quantitative Zusammensetzung des bei den Teerdestillationen verarbeiteten Rohphenols schwankt jedoch in weiten Grenzen, da die in wechselnden Mengen mitverarbeiteten Phenolatlaugen aus Kokereiabwässern im wesentlichen nur Phenol und Kresole, aber keine Dimethylphenole enthalten.“[152]

 

„Durch Rektifikation des Rohphenols werden Phenol (Kp 181,8 °C) und o-Kresol (Kp 191,0 °C) in technisch reiner Form gewonnen.“[153] „Die Isomeren m-Kresol (Kp 202,2 °C) und p-Kresol (Kp 201,9 °C) fallen dagegen wegen des nur um 0,3 °C unterschiedenen Siedepunkts als gemeinsame Fraktion an.“[154] „Das Gemisch enthält etwa 60% m-Kresol und 40% p-Kresol neben geringen Mengen 2.6 Dimethylphenol und o-Äthylphenol.“[155]

 

3.2.2) Stoffeigenschaften und Verwendung des Formaldehyds

 

Formaldehyd (CH2O) ist ein bei Raumtemperatur farbloses, stechend riechendes Gas und der einfachste Vertreter der Aldehyde.[156] „Der Name Formaldehyd setzt sich aus der lateinischen Bezeichnung für Ameisensäure (lat: Acidum formicium) und jener der Stoffklasse Aldehyd zusammen; der nach IUPAC gültige Name ist Methanal“[157] Er löst sich hervorragend in Wasser, weswegen er in 30-50%iger Lösung vertrieben wird.[158] Des Weiteren ist Formaldehyd ein natürlich vorkommender Stoff, der in der Troposphäre ständig durch photochemische Prozesse vorwiegend aus Kohlenwasserstoffen wie z. B. Methan oder Terpenen gebildet wird.[159]   

„Die erstmalige Herstellung gelang im Jahre 1859 A.M. Butlerov durch Erhitzen von polymeren Formaldehyd, der durch Hydrolyse von Methylendiacetat entstanden war.“[160]

1867 erfolgte die erste Herstellung im technischen Maßstab durch A. W. Hofmann durch Dehydrierung von Methanol.[161] Methanol kann durch Destillation von Holz gewonnen werden, und ist somit leicht erhältlich und kostengünstig. „Formaldehyd ist entzündlich und giftig; er ätzt Augen, Haut und Lungen, ist instabil und neigt zur Polymerbildung, weshalb die meisten kommerziell erhältlichen Lösungen mit Methanol und Benzoguanamin stabilisiert sind.“[162] „Formaldehyd zersetzt sich bei einer Temperatur von 420 °C unter Bildung von explosivem Wasserstoff und giftigem Kohlenmonoxid.“[163]

Anwendungsgebiete sind oder waren die Chemische Industrie, Histotechnik, Restaurierung, Kautschuk-, Textil- und Farbstoffindustrie, Gerbereibetriebe, Fotoindustrie.[164] Noch heute ist Formaldehyd einer der wichtigsten organischen Grundstoffe in der chemischen Industrie.[165] Technisch bedeutsam ist Formaldehyd vor allem für die Herstellung von Kunstharzen wie Bakelit oder anderen Phenoplasten sowie für Aminoplaste, Melamin- und Acetalharze, Ethylenglykol, Hexamethylentetramin und Pentaerythrit.[166] „Der weitaus größte Anteil des produzierten Formaldehyds wird für Kondensationsprodukte mit Harnstoff, Melamin und Phenol eingesetzt.“[167]

 

3.3) Chemie und technologische Eigenschaften des Bakelites

 

Bakelite ist ein Phenolharz bzw. Phenoplast, also ein Reaktionsprodukt aus Phenolen und Formaldehyd, und zählt zu den Duroplasten. „Die Duroplaste, früher auch als Duromere bezeichnet, sind im engmaschig vernetzten (ausgehärteten) Endzustand unlöslich und nicht mehr schmelzbar.“[168] „Aus den niedermolekularen Ausgangsstoffen (Monomere) werden daher zunächst nicht bzw. nur wenig vernetzte, nach plastisch formbare und ebenfalls noch relativ niedermolekulare Zwischenstufen (Vorprodukte) hergestellt.“[169] „Die räumliche Vernetzung zu Makromolekülen und damit die Bildung der eigentlichen Kunststoffe erfolgt durch chemische Reaktion („Härtung“) bei der Formung im Werkzeug des Verarbeiters.“[170] So muss angemerkt werden, dass der Name Bakelite/Bakelit immer wieder zu Verwechslungen zwischen dem reinen Bindemittel Phenolharz und den mit diesem Bindemittel hergestellten „duroplastischen“ Formmassen führt.[171] Denn ein wichtiges Kennzeichen der Duroplaste ist, dass sie im Regelfall mit Füll- bzw. Verstärkungsstoffen („Harzträger“) versetzt werden.[172]  

Folglich soll sich in diesem Kapitel zunächst mit dem reinen Bindemittel Phenolharz beschäftigt werden, um dann nachfolgend, die aus Bakelite hergestellten Formmassen abzuhandeln.

„In Abhängigkeit von den Reaktionsbedingungen, d. h. im wesentlichen vom pH-Wert,  unterscheidet man grundsätzlich die Bildung von Resolen im basischen Bereich (pH > 7) sowie die Bildung von Novolaken im sauren Bereich (pH < 7).“[173]

 

                                Abb. 3

 

„Unter Novolaken versteht man Phenolharze, die sowohl schmelzbar als auch in einer Reihe von organischen, vorallem bei längerem Erhitzen nicht verlieren.“[174] „Resole hingegen sind Phenolharze, die sich zwar ebenfalls in einer Reihe von organischen Lösungsmitteln lösen, aber in Gegensatz zu den Novolaken durch eine thermische Behandlung, vielfach auch in der Kälte schon nach Zusatz von starken Säuren härten, d. h. in wesentlich höher schmelzende und viskose, u. U. sogar unschmelzbare und unlösliche Harze übergehen.“[175]

 

3.3.1) Einteilung der Phenolharze nach technologischen Eigenschaften

 

Resole (Bakelite A-Zustand) sind eigenhärtend, d. h. sie enthalten den für diesen Härtungsvorgang nötigen Formaldehyd bereits in Form von Methylol- und Ethergruppen-haltigen Molekülstrukturen.[176]  

 

„Resole sind schmelzbar und in verschiedenen Lösungsmitteln löslich.“[177] Sie reagieren ohne weitere Zusätze langsam bereits bei Raumtemperatur („selbsthärtende Phenolharze“, nicht unbegrenzt lagerfähig).[178] 

 

Resitol (Bakelite B-Zustand) dient als Bezeichnung für solche Harze, die in organischen Lösungsmitteln nicht mehr vollständig löslich sind, sondern höchstens quellen oder sich mit ihnen (z. B. mit Alkoholen, Carbonsäuren oder auch Phenolen) allenfalls noch chemisch umsetzen; die ferner beim Erhitzen keine glatte Schmelze mehr ergeben, sondern nur mehr erweichen, also eine gewisse, allerdings nur vorübergehende Thermoplastizität aufweisen und dabei noch geformt werden können.[179] „Der Resitolzustand umfaßt Harze mit einer Molekülstruktur, bei welcher auf einen Phenolkern durchschnittlich etwa eine Brückenbindung entfällt.“[180] „Üblicherweise, d. h. bei der Härtung von Harzen aus trifunktionellen Phenolen, stellt er eine Zwischenstufe auf dem Wege zur Resitbildung dar.“[181] „Ein resitolartiger Zustand kann weiterhin bei der Formaldehyd-Kondensation von bifunktionellen Phenolen auch zum Endzustand werden, wobei der Unterschied zwischen „Resol“ und „resitolartig“ darin liegen soll, daß der zuletzt benannte Begriff nur die Eigenschaft der eingeschränkten Löslichkeit und Schmelzbarkeit, nicht aber auch die der Härtbarkeit umfassen soll.“[182]

 

Resit (Bakelite C-Zustand) schließt alle Phenolharze ein, die infolge ihres hohen Molekulargewichts und ihrer dreidimensionalen Molekülstruktur sehr hart, mechanisch äußerst widerstandsfähig, in organischen Lösungsmitteln unlöslich und unquellbar, vielfach auch gegen Laugen beständig sind und beim Erhitzen selbst bei sehr hohen Temperaturen nicht erweichen oder gar schmelzen, sondern allmählich verkohlen oder vercracken.[183] Der Resitzustand wird durch eine Vernetzung der Phenolkerne mit einer genügend hohen Anzahl von Brückenbindungen erreicht.[184] „Hierzu müssen im Durschnitt mehr als eine Brückenbindung auf einen Phenolkern vorhanden sein.“[185] „Maximal können bei trifunktionellen Phenolen drei halbe, also 1,5 Brücken je Phenolkern eingeführt werden, bei bifunktionellen Phenolen dagegen nur eine Brückenbindung.“[186] „Es gelingt demnach nicht, aus o- oder p-Kresol allein Resite herzustellen, doch genügt die Beimischung einer bestimmten Menge eines trifunktionellen Phenols, wie sie z. B. in dem technischen Kresolgemisch durch den Gehalt an m-Kresol gegeben ist, um bei der Formaldehyd-Kondensation die entsprechende Vernetzung und dadurch Resitbildung zu bewirken.“[187]

 

Zwischen den beschrieben Harzzuständen gibt es keine scharfen Grenzen sondern fließende Übergänge, da neben den Brückenbindungen auch noch die Substituenten in hohem Maße ihren Einfluss auf den Harzcharakter geltend machen.[188]

 

Novolake sind wie Resole ebenfalls schmelzbar und löslich, reagieren jedoch wegen fehlender Methylolgruppen ohne Zusätze auch bei höheren Temperaturen nicht weiter.[189]

Üblicherweise beschränkt sich der Begriff  „Novolak“ auf die aus Phenol durch saure Kondensation mit Carbonylverbindungen, vor allem mit Formaldehyd, hergestellten Harze, doch kann man natürlich auch andere auf Phenolgrundlage aufgebaute Harze, welche äquivalente Eigenschaften aufweisen, als novolakartig bezeichnen.[190]


3.3.2) Einteilung der Phenolharze nach chemischen Gesichtspunkten

 

Die Einteilung der Phenolharze in Novolake, Resole, Resitole und Resite lässt den chemischen Zusammenhang, in dem diese Harze zueinander stehen, nicht sehr deutlich erkennen.[191] So unterscheidet man bei den Phenolharzen zwischen nicht härtbaren und härtbaren Produkten.[192] Die ersteren sollte man vielleicht genauer als nichthärtend bezeichnen, da sie, durch den Zusatz von Härtungsmitteln tatsächlich härtbar werden können.[193] „Die härtbaren (oder auch härtenden) Produkte wiederum kann man in eigenhärtende und indirekt härtende Stoffe einteilen.“[194] „Bei den ersteren liegen die Bausteine für die Brückenbindungen, welche die Verkettung und Vernetzung der Moleküle bewirken, bereits chemisch gebunden in Form von härtbaren Gruppen vor.“[195]

 

                                          Abb. 4

                                        

„Bei den indirekt härtenden Produkten hingegen ergibt erst die Zumischung eines Härtungsmittels, z. B. von Hexamethylentetramin, zu einem an sich nichthärtenden Harz ein Produkt, das beim Erhitzen zu einer weiteren Umsetzung, mithin zur Härtung fähig ist.“[196] Desweiterem muss zur Vervollständigung den Begriffen der nichthärtenden und härtbaren Produkte noch den der gehärteten Phenolharze hinzugefügt werden.[197] „Unter diesen werden alle jene von Haus aus härtbaren Stoffe verstanden, die wegen ihres fortgeschrittenen Härtungs- bzw. Kondensationsgrades die Härtbarkeit bereits weitgehend oder gar völlig eingebüßt haben.“[198] Die Abbildung XX zeigt die verschiedenen Gruppen von Phenolharzen.

„Die hier getroffene Anordnung läßt vor allem die Zusammenhänge und Übergänge zwischen den einzelnen Gruppen erkennen.“[199]

 

3.3.2.a) Novolake (Nichthärtende Phenolharze)

 

„Die Novolake werden aus Phenol und Formaldehyd unter saurer Katalyse gebildet.“[200] „Die früher verwendeten Mineralsäuren wurden mittlerweile durch Oxalsäure weitgehend ersetzt.“[201] „Die Reaktion des Formaldehyds führt in saurem Medium direkt zu einer Methylenbrücke zwischen den reaktiven Kohlenstoffen zweier Phenole.“[202] „Phenol hat drei reaktive Positionen: zwei ortho (2-) Positionen und eine para (4-) Position.“[203] „Daher können sich als erste Reaktionsprodukte drei Isomere Diphenylmethane bilden.“[204] „Der jeweilige Anteil an o- bzw. p-Verknüpfungen hängt vom Katalysator und vom pH-Wert des Reaktionsmediums ab.“[205] „Üblicherweise überwiegen die 2,4‘- und die 4,4‘- Isomeren.“[206] „Diese Isomere reagieren weiter mit dem noch vorhandenen Formaldehyd, das letztlich komplett verbraucht wird.“[207] „Das überschüssige Phenol wird mit dem Wasser abdestilliert.“[208] „Die Oxalsäure zersetzt sich bei Temperaturen ab 160 °C und sorgt für ein reduzierendes Milieu.“[209] „Dadurch  werden solche Harze in der Regel wasserhell und klar.“[210] „Da das Formalin komplett abreagiert ist  und die Methylengruppen das Ende der Reaktionskette von Phenol und Formalin darstellen, können Novolake ohne Vernetzer nicht weiterreagieren.“[211]  „Man kann die Schmelze daher sehr hoch zum Destillieren erhitzen (>200 °C), um so die freien Monomere weitestgehend abzudestillieren.“[212] „Um ein Gelieren des Novolaks bereits bei der Herstellung zu vermeiden, kann man die Rohstoffe nur in einem Molverhältnis von max. 1:0,85 Phenol/Formaldehyd einsetzen.“[213] „ Erhöht man die Formalinmenge, geliert das Harz und kann nicht mehr aus dem Reaktor abgelassen werden.“[214]

„Um die Novolake, die auch in den Formmassen das Hauptbindemittel darstellen, weiter vernetzen zu können, muss ihnen ein Vernetzer (Härter) zugesetzt werden.“[215] „Dies ist in der Regel Hexamethylentetramin (Urotropin), ein Kondensationsprodukt aus Ammoniak und Formaldehyd, das bei Temperaturen von >100 °C wieder Formalin bildet und dann den Novolak zum gummiartigen B-Zustand und weiter zum unlöslichen und unschmelzbaren

C-Zustand vernetzen kann.“[216] Diese Reaktion führt bei Temperaturen oberhalb von 120 °C teilweise über Dimethylenamine als Zwischenprodukte, die erst bei >180 °C zu den endgültigen Methylenbrücken abreagieren.


                                    Abb. 5


3.3.1.b) Resole

 

„Wird die Reaktion von Phenol und Formaldehyd im alkalischen Medium durchgeführt, werden die sogenannten Resole gebildet.“[217]

„Während bei der sauer katalysierten Reaktion die Kondensation zur Methylengruppe sehr schnell verläuft, kann man die verschiedenen Additions- und Kondensationsprodukte des Formalins am Phenol abfangen.“[218] 

                                                Abb. 6

 

„Man kann daher auch Molverhältnisse verwenden, die über die bei den Novolaken deutlich hinausgehen (bis zu > 1:3) und ein Tris-Hydroxymethylphenol lässt sich sogar isolieren.“[219]

„Da für eine 100%ige Härtung von Phenol (3 reaktive Positionen) mit Formaldehyd (2 reaktive Positionen) ein Molverhältnis von 1:1,5 Phenol/Formaldehyd theoretisch optimal ist, führen Molverhältnisse, die darüber hinausgehen, bei einer vollständigen Härtung notwendigerweise zu einer Abspaltung (nicht unbedingt Emission) von Formaldehyd.“[220] „Sonst wären bei einem Molverhältnis von 1:3 alle reaktiven Gruppen am Phenol blockiert und eine Weiterreaktion nur noch zu den Ethergruppen möglich.“[221]

„Da die Hydroxmethylgruppen und Dimethylenethergruppen reaktiv sind, führen sie selbst bei kühler Lagerung zu einer permanenten Weiterreaktion der Resole.“[222] „Dies führt zu einem Anstieg des Molmasse und der Viskosität sowie zu einer Reduktion der Wasserlöslichkeit.“[223] „Dadurch sind die Lagerfähigkeit und Anwendbarkeit zeitlich beschränkt.“[224]

„Novolake haben ein maximales mittleres Molmasse von 1000 und 2000, danach sind sie geliert.“[225] „Bei Resolen sind diese noch deutlich niedriger.“[226]

Während Novolake nur in organischen Lösungsmitteln gelöst werden können, sind Resole in der Regel in Wasser, insbesondere in Laugen löslich (Bildung des Phenolat-Ions).“[227] „Diesen löslichen und schmelzbaren Zustand beider Harzarten bezeichnet als A-Zustand.“[228]

„Der B-Zustand wird bei der Härtung durchlaufen“[229] „Man nimmt den gut messbaren Punkt der Gelierung als Maß für die Reaktivität eines Harzsystems (Gelzeit oder B-Zeit).“[230]

„Unter Temperatureinfluss härten dann alle Harze endgültig in den unschmelzbaren und unlöslichen C-Zustand, gekennzeichnet durch ein dreidimensional vernetztes Resitgitter“[231]

„Dieses sollte theoretisch unabhängig vom Ausgangsharz gleich aussehen.“[232]

 

3.3.2) Herstellung der Harze

 

„Die Herstellung der Harze erfolgt in Reaktoren von ca. 3 m3  bis 50 m3.“[233] Während man früher dien Harze in sogenannten Eintopfverfahren herstellte, bei denen alle Reaktanden zusammen vorgelegt wurden, um dann vorsichtig und unter sorgfältiger Kühlung die Katalysatoren zuzugeben, werden heute Phenol und Katalysator vorgelegt und dann das Formalin sorgfältig dosiert.“[234] „Dies hat den sicherheitstechnischen Vorteil, dass man die Zudosierung jederzeit stoppen kann, wenn die Reaktion aus welchen Gründen auch immer außer Kontrolle zu geraten droht.“[235]

„Für die Herstellung der Novolake verwendet man heute Reaktoren, die zur Erreichung der hohen Destillationstemperaturen mit einer Ölheizung ausgestattet sind.“[236]

„Man legt Phenol und Oxalsäure vor und dosiert dann bei 100 °C das Formalin zu.“[237]

Die Exothermie kann man durch Kühlung und Rückfluss kontrollieren.“[238] „Ist alles Formalin zuchargiert und abreagiert, beginnt man zunächst das Wasser, dann Wasser/Phenolgemisch und letztendlich reines Phenol abzudestillieren.“[239] „Das Phenol kann zurückgewonnen und wieder eingesetzt werden.“[240] „Die heiße Novolakschmelze (bis zu > 200 °C) wird dann über Kühlbänder als Flakes oder als Pellets ausgetragen.“[241] „Früher, oder in nicht soweit entwickelten Produktionen sogar noch heute, wird die Schmelze aber auch noch auf den (kühlbaren) Boden oder in Wannen abgelassen.“[242]

„Die abgekühlte, feste Schmelze wird dann grob vorgebrochen und in speziellen Mühlen zusammen mit dem Härter Hexa feinst vermahlen.“[243] „Diese Pulver sind die Hauptprodukte.“[244] Für die Formmassenproduktion, die im nachfolgenden Abschnitt behandelt wird, werden aber auch vorgebrochenes Harz oder zur Sandummantelung pelletiertes Harz ohne Härter eingesetzt.[245]

„Die Herstellung der Resole erfordert nicht so hohe Temperaturen, aber dafür Reaktoren und Dosierungseinrichtungen, die sehr genau steuerbar sind.“[246] „Während Novolake einfach durch Reaktion von Phenol und Novolak bei 100 °C entstehen, ist die Zusammensetzung eines Resols sehr entscheidend abhängig vor der Zeit/Temperaturkurve, mit der es hergestellt wurde.“[247] „Diese sowie andere Parameter wie Katalysatorart und –menge bestimmen am Ende der Herstellung die Verhältnisse von Hydroxymethylgruppen, Ethergruppen und Methylengruppen zueinander und diese wiederum die Qualität des Harzes für eine bestimmte Anwendung.“[248] „Daher muss ein Reaktor in der Lage sein, immer wieder die gleichen Reaktionsbedingungen für die Herstellung ein und desselben Harzes genau zu reproduzieren.“[249]

Bei der Resolherstellung werden Phenol und Katalysator (z. B. NaOH oder Ba(OH)2) vorgelegt.“[250] „Dann wird bei einer definierten Temperatur in einer definierten Zeit das Formalin zudosiert.“[251] „Anschließend wird (i. d. R. bei einer anderen Temperatur) das Harz weiter kondensiert, bis ein vorgegebenes Abbruchkriterium erreicht wird (Wasserverdünnbarkeit, Viskosität o. a.).“[252] „Dann wird die Destillation (wieder unter genau definierten Bedingungen) begonnen und das Harz letztlich auf bestimmte Spezifikationen eingestellt (Festgehalt, Viskosität, Reaktivität o. a.).“[253]

„Für bestimmte Anwendungen (z. B. Imprägnierungen, Lacke) werden die Harze aus wasserfrei destilliert, in Lösungsmittel gelöst, mit Modifikatoren, Netzmitteln oder Haftvermittlern versehen.“[254] Resole können auch als Schmelze ausgetragen werden und nach schockartigen Abkühlen als Festresole vertrieben werden.[255]

Waren früher die Formmassen die Hauptanwendung für die Phenolharze, so geht heute die Hauptmenge in andere Bereiche der technischen Anwendung.[256]

 

3.4) Phenolharz-Formmassen

 

„Formmassen sind Kunststoffgranulate, die in Verarbeitungsverfahren, wie Spritzgießen oder Formpressen, zu Formteilen verarbeitet werden.“[257] Die Kunststoffgranulate bestehen aus Füll- und Verstärkungsstoffen, Pigmenten sowie dem Bindemittel Phenolharz.“[258] „Die herausragenden Eigenschaften von Phenolharz-Formassen sind die hohe Temperaturbeständigkeit, hohe Oberflächenhärte, Schwerentflammbarkeit, hervorragende Dimensionsstabilität und ausgezeichnete elektrische Eigenschaften.“[259]

Die meisten Phenolharz-Formmassen basieren auf Phenolnovolaken, denen je nach Anwendung Sondernovolake wie z. B. Kresol-oder Nonylphenolharze zugesetzt werden können.[260]  „Die Abmischung der Harzsorten beeinflusst nicht nur die rheologischen Eigenschaften der Formmasse, sondern hat auch entscheidenden Einfluss auf die physikalischen Eigenschaften des Formstoffs.“[261]

 

3.4.1) Chemie der Aushärtung von Phenolharz-Formmassen

 

„Novolake oder Resole werden meist in gemahlenen Zustand mit Füll- bzw. Verstärkungsstoffen und weiteren Zusätzen, wie Katalysatoren, Gleitmitteln, Farbmitteln, vermischt und dann in temperierten Schneckenknetern oder auf Walzwerken durchgeknetet, wobei die Polykondensation ein wenig voranschreitet.“[262]

„Nach dem Abkühlen und Zerkleinern, gegebenenfalls Mahlen liegen die Phenolharz-Formharzmassen vor, wobei die Harze sich im Resitol- bzw. Novolakzustand befinden.“[263] „Die meist körnigen oder schnitzelförmigen bzw. tablettierten Formmassen können nun in geeigneten Werkzeugen durch Druck und bei Temperaturen zwischen 145 bis 170 °C zu unlöslichen und unschmelzbaren Formteilen oder Halbzeug verarbeitet werden.“[264] „Vor Beginn der Aushärtung werden die Massen für kurze Zeit so weit fließbar, dass sie beim Pressen oder Spritzgießen das Formwerkzeug voll ausfüllen.“[265] „Die Aushärtungszeit ist hauptsächlich von der Harzart, dem verwendeten Katalysator, der Härtungstemperatur und der Wanddicke des Formteils abhängig.“[266] „Das ausgehärtete Formteil wird aus dem ungekühlten Werkzeug ausgestoßen.“[267]

„Die Harzkomponente der Formmasse ist durch eine weitere Polykondensation bei erhöhter Temperatur in den Resit-Zustand übergegangen und weitgehend ausgehärtet worden.“[268] „Durch die drei Reaktionsmöglichkeiten jedes Phenolmoleküls mit Formaldehyd sind räumlich engmaschig vernetzte Molekülstrukturen entstanden.“[269] „Jede Phenolgruppe ist durch Methylengruppen (-CH2-) mit benachbarten Phenolgruppen verbunden.“[270]

 

 

3.4.2) Eigenschaften von Phenol-Formaldehyd-Formstoffen

 

„Die Eigenschaften sind stark abhängig von Art und Menge an Füll- bzw. Verstärkungsstoffen, die häufig mehr als die Hälfte des Formstoffs ausmachen.“[271] „Daher werden diese Zusätze auch als „Harzträger“ bezeichnet.“[272] Sie müssen aus folgenden Gründen zugesetzt werden: Aufnahme der in den Formmassen bzw. Formstoffen enthaltenden Feuchte, Verringerung der Schwindungswerte, Erhöhung der mechanischen Festigkeit (z. T. besonders der Schlagzähigkeit), Verbesserung anderer physikalischer Eigenschaften (wie

z. B. Wärmebeständigkeit), Verbilligung der Produkte.[273]

„Nach  ihrem chemischen Aufbau lassen sich Harzträger einteilen in anorganische, wie Gesteinsmehl, Glimmer und Glasfasererzeugnisse, und in organische Materialien, wie Holzmehl, Zellstoff- bzw. Papier- und Baumwoll-Fasern, Gewebeschnitzel und Gewebebahnen sowie Chemiefasern (meist aus Polyester oder Aramid).“[274] „Die Harzträger besitzen verschiedene Struktur, wie Pulverform (Holz-, Gesteinsmehl, Glimmer), Faser- und Schnitzelform (Zellstoff, Baumwolle, Polyester, Aramid- und Glasfaser) sowie Bahn oder Matte (Papier, Gewebe).“[275]

 

4.) Leo H. Baekeland und der Weg zum Bakelit

 

Leo H. Baekeland (1863-1944) ist eine Schlüsselfigur in der Wissenschafts- und Technikgeschichte.[276] In diesem Kapitel soll der Lebenslauf und das Schaffen Baekelands ausführlich dargelegt werden. Als Chemiker, Chemotechniker und Unternehmer machte er bahnbrechende Erfindungen in den Bereichen Fotografie, Elektrochemie und den

Polymerwissenschaften. So sollen die Unterkapitel die verschiedenen Phasen von Baekelands Leben wiedergeben. Bakelite, die Erfindung die ihn weltbekannt machte, legte die Grundlage für die moderne Kunststoffindustrie. Baekeland verfügte über breites Wissen und  konnte seine theoretischen Fähigkeiten anwendungsorientiert einsetzen. Insbesondere die Wiedergabe von Baekelands Artikel in der „Chemiker Zeitung“ soll seine Genialität und sein Querdenken verdeutlichen.

 

                                                    Abb. 7

 

4.1) Eine Karriere beginnt

 

Leo Hendrik Baekeland, Sohn von Karel und Rosalia Baekeland, wurde am 14. November 1863 in einem Dorf außerhalb der belgischen Stadt Gent geboren. Seine Eltern waren beide Analphabeten.[277] Er entstammte also aus einfachen Verhältnissen. Sein Vater war Flickschuster und es wurde von ihm erwartet, dass er das Geschäft fortführen sollte.[278]. Jedoch erkannte seine Mutter, eine Hausdienerin, sein Potential und drängte ihren Ehemann dazu, ihm eine weiterführende Ausbildung zu ermöglichen.[279] „Zum Glück für Leo hatte seine Mutter bei ihrem jahrelangen Dienst in den Häusern der Reichen Geschmack an den besseren Dingen des Lebens gefunden.“[280]

„Leo steuerte durch seine Arbeit als Lehrling in der Schuhmacherwerkstatt seines Vaters zu seinem Schulgeld bei.“[281] Aber nachdem ein paar Jahre lang im Beruf seines Vaters ausgebildet wurde, erhoffte er sich, diesen nie ergreifen zu müssen.[282]  Dies musste er auch nicht: denn nach dem sehr erfolgreichen Besuch der Genter Stadsschool Nr. 11 gewährten ihm die Behörden ein städtisches Studienstipendium, das es ihm erlaubte, auf das königliche Athenäum, der Ausbildungsstätte der Genter Elite, zu gehen.[283] Dass seine Eltern nun nicht mehr für die Ausbildungskosten aufkommen mussten war, für ihn sehr erfreulich.[284] Ihn inspirierte die Biographie Benjamin Franklins, die er schon in jungen Jahren las.[285] Auch Franklin hatte sich schon in jungen Jahren aus der Abhängigkeit seiner Eltern befreit. Weswegen Baekeland auch den Traum hegte, nach Amerika – dem Land der unbegrenzten Möglichkeiten – auszuwandern.[286]

 

Nach dem Unterricht im Athenäum verbrachte er seine Abende mit Chemiekursen an der Gewerbeschule Nijverheidsschool[287] „Und trotzdem fand er noch Zeit, sich mit der Fotografie zu beschäftigen, einem Hobby, zu dem er sehr stark von Dr. Desire Van Monkhoven, einem Genter Chemiker, ermuntert wurde. Dieser hatte mehrere Bücher über die Fotografie geschrieben und besaß eine kleine Fabrik zur Herstellung von Trockenplatten – die erste in Europa. Baekelands Passion für Fotografie soll so weit gegangen sein, dass er Silbernitrat gewonnen haben soll, indem er das silberne Gehäuse seiner Taschenuhr, die ihm sein Vater gab, in Schwelsäure auflöste.[288]

„Hinter seinem ernsten Gehabe verbarg sich bei Leo ein knabenhafter Übermut, der sich in dem Zwang ausdrückte, anderen allerhand freche Streiche zu spielen.“[289] „Als er sich eines Tages beim Unterricht langweilte, beschloß er die unauslöslichen Eigenschaften des Silbernitrats auf dem Gesicht eines Klassenkameraden zu demonstrieren.“[290] „Der betroffene Schüler brach, als er sein geschwärztes Gesicht im Spiegel erblickt hatte, in Panik aus und lief zu seinem Hausarzt, der Salzsäure als Fleckenentferner verschrieb.“[291] „Die alarmierenden Folgen – Verbrennungen aber keine Narben – veranlaßten einen Disziplinarausschuß der Schule, sich mit der Angelegenheit zu befassen.“[292] Statt sich mit Worten zu verteidigen, wischte sich Leo auf die Fragen des ihn Verhörenden hin stillschweigend etwas Silbernitrat ins eigene Gesicht, worauf er es sich dann ebenso gelassen mit einer harmlosen Chemikalie, die er einem in seiner Tasche verborgenem Fläschchen entnahm, wieder abwischte.“[293] Dies veranlasste das Gremium, ihn mit einem kleinen Tadel davonkommen zu lassen.[294] Einer anderen Geschichte nach hat Leo Silbernitrat in das Weihwasser der Familienkirche getan, was dazu führte, dass die Gemeindemitglieder abriebfeste schwarze Flecken auf der Stirn hatten.[295]

 

Mit nur 17 Jahren absolvierte der junge Baekeland das Athenäum und erhielt er hier Medaillen für seine Leistungen in Physik und Chemie sowie das Diplom in industrieller Chemie mit Auszeichnung.[296] Ein Stipendium der Stadt Gent ermöglichte es ihm, seine Ausbildung in Form eines Chemiestudiums an der dortigen Universität fortzusetzen, bei der man ihn als jüngsten Studenten überhaupt begrüßte.[297]

Baekeland war recht rebellisch und trat einem Studentenclub bei, der sich gegen den katholischen Einfluss richtete und für liberale Politik sowie Freidenkertum stand.[298]  

„Er zog alsbald die Aufmerksamkeit des führenden Professors für Chemie, Theodore Swarts, auf sich.“[299] Swarts (1839-1914) war zunächst Assistent und später Nachfolger des deutschen Professors Friedrich August Kekule (1829-1896). Kekule war Begründer der modernen organisch-chemischen Strukturlehre.[300] So hatte er 1858 seine klassische Theorie von der Ringstruktur des Benzols in Gent verkündet, bevor er einem Ruf an die renommiertere Universität von Bonn gefolgt war.[301] 

Folglich wurde Baekeland entsprechend gefördert. Nach zwei Jahren Chemiestudium hatte er 1882 bereits sein Bakkalaureat mit der besten Note abgeschlossen und erwarb zwei Jahre darauf, mit 21 Jahren, seinen Doktor mit summa cum laude.[302]

Er unterrichtete nun an der naturwissenschaftlichen Fakultät des Lehrerseminars in Brügge (etwa 30 Kilometer von Gent entfernt), an dem Swarts, ebenfalls die chemische Fakultät leitete und für den Baekeland als Assistent fungierte.[303]  In seiner freien Zeit ging er seinem Hobby, der Fotografie, nach. So suchte er anwendungsorientiert nach Möglichkeiten, die Fotografie zu vereinfachen und arbeitete daran, Fotoplatten für Fotonegative zu verbessern.[304] Baekeland war überzeugt, dass er bessere Fotoplatten als sein Mentor Monkhoven herstellen könne.[305] Er wusste, dass die meisten Fotografen lieber nichts mit den übelriechenden, schwierig zu handhabenden Entwicklern zu tun haben wollten.[306] Folgend entwickelte er eine mit einer wasserlöslichen Emulsion beschichtete Trockenplatte, die man nur ins Wasser tauchen brauchte, um den darunter befindlichen Entwickler zu aktivieren.[307] Diese Platten erfüllten zwei Bedingungen, sie bestanden sowohl aus einem lichtempfindlichen Material mit einer trockenen Beschichtung als auch aus einer Schutzschicht, um Oxidation vorzubeugen.[308]  Nachdem die Platten belichtet wurden, sollten diese in Wasser getaucht werden, um die Beschichtung zu aktivieren.[309]  Das bedeutete, dass es keine Schwierigkeiten mehr mit den Platten gab, die vor der Entwicklung feucht beschichtet werden mussten.[310] Baekeland beantragte nun hierfür Patente und gründete 1887 mit einem Studienkollegen eine Firma, die Baekeland et Cie.[311] Aber er stellte fest, dass er nun seine ganze Freizeit darauf verwandte, sein Geschäft in Gang zu halten.[312] Des Weiteren wurde er von Swarts für seine angewandte Arbeit kritisiert, denn dieser war bedacht, ihn für theoretische Chemie zu begeistern, weswegen die beiden oft stritten.[313] Swarts vermochte nicht einzusehen, was einen so hoch begabten jungen Mann wie Baekeland, der eine glänzende akademische Laufbahn vor sich hatte, dazu brachte, sich mit so einem lächerlichen Geschäft abzugeben.[314]

 

Baekelands Entdeckung kam jedoch zu spät, da sich durch die Erfindung des flexiblen Films die Fotografie grundlegend vereinfachte. Folglich ging Baekelands kleine Firma Pleite, so dass seine Eltern, die dieses Unternehmen unterstützt hatten, in große finanzielle Schwierigkeiten gerieten.[315] Er lernte hieraus, sich keine falschen Ziele mehr zu setzen.[316] Jedoch war dies für ihn nur ein kleiner Rückschlag.[317]

 

Baekelands Abhandlung „Über die Phänomene der Dissoziation“ erhielt 1887 als beste Arbeit im Fachbereich Chemie den ersten Preis eines Universitätswettbewerbs der belgischen Akademie der Wissenschaften, der mit einem Reisestipendium verbunden war.[318] Zunächst blieb Baekeland in Belgien, kehrte aber 1888 als außerordentlicher Professor an seine eigene Alma mater zurück.[319] Zu dieser Zeit verliebte sich Baekeland in die Tochter seines Mentors. Als die von ihm angehimmelte Celine Swarts ihn eines Tages in seinem Laboratorium besuchte, soll ihm vor Verliebtheit ein Becherglas aus der Hand gefallen sein.[320] Celine war eine ausgebildete Künstlerin, die in Paris und Brüssel u.a. bei dem amerikanischen Maler Hobart Nichols studiert hatte.[321]

Die beiden heirateten am 8. August 1889, jedoch geschah dies zum Unmut von Celines Vater.[322]

Baekelands Reisestipendium führte ihn und Celine eine Woche nach der Hochzeit zunächst über London und Oxford an die Universität Edingburgh und anschließend in die ersehnte „Neue Welt“ zu C. F. Chandler an die Columbia University von New York.[323] Professor Chandler erkannte die außerordentliche Begabung des jungen Kollegen und überredete ihn, in den USA zu bleiben.[324] Kurzentschlossen schickte Baekeland ein Telegramm an die Genter Universität, worin seinen Rücktritt erklärt.[325] Offiziell war er jedoch nur beurlaubt, aber er kehrte nie wieder zur Genter Universität zurück.[326]

 

4.2) Der Weg zum Velox Fotopapier

 

Baekeland, inzwischen 27 und gerade in New York angekommen, musste nun die relativen Vorteile einer sicheren, angesehenen akademischen Karriere in Europa gegen die einer eigenwilligen Laufbahn in den USA abwägen.[327] Bis zur Jahrhundertwende waren Industriechemiker in der Neuen Welt so gut wie unbekannt gewesen.[328] „Zwar hatte Du Pont schon 1891 ein Forschungslabor in Carneys Point, New Jersey, gegründet, aber dessen Forschung war strikt auf das Gebiet des >>rauchfreien Schießpulvers<< beschränkt.“[329] Das Forschungslabor von General Electrics in Schenectady, das allgemein als das erste industrielle Forschungslabor der USA gilt, wurde erst 1900 gegründet.[330]

Kurze Zeit nachdem er in die USA immigriert war, führte sein Interesse für Fotografie schnell dazu, dass er Kontakte knüpfen konnte, und so einen Job erhielt.[331] Die geschah wie folgt: In New York trat Baekeland einen Kameraclub bei und freundete sich mit zwei Brüdern an.[332] Die Anthonys besaßen eine Fotofirma, die in Wettbewerb mit Eastman Kodak stand.[333] Der Kontakt zu Chandler, der ebenfalls ein Fotoenthusiast war, führte dazu, dass ihm die Anthonys einen Job anboten.[334]  Da Baekeland dringend Geld benötigte,  fing er  1891 an für die kommenden zwei Jahre im Labor der Anthony Brüder an Filmemulsionen und Fotopapier zu arbeiten.[335] „Dort gilt der belgische Doktor als allwissender Experte.“[336] „Eines Tages begleitet er eine Gruppe von Chemikern nach Maine, wo man ein Gelände für einen neuen Fabrikbau besichtigen will.“[337] „Die Fahrt gleicht eher einer Expedition, denn das Transportmittel ist ein Automobil“[338] Am frühen Morgen ist der Trupp am Ziel und alle beginnen das Terrain zu begutachten.[339] Als die Gruppe zurückkehrt, sitzt Baekeland immer noch im Fond und liest ein Buch.[340] Kommen Sie, Doktor, ruft einer. Wir brauchen Sie! Doch Baekeland schaut auf und schüttelt den Kopf. Sinnlos, murmelt er. Ich habe meine Nase rausgestreckt. Es riecht nach Schwefel von den Papierfabriken – an diesem Ort kann man keine Filme herstellen![341]

 

Nachfolgend arbeitete Baekeland  kurze Zeit als selbstständiger Berater und forschte über Fotomaterialien intensiv weiter.[342] „Doch eine schwere Krankheit durchkreuzte seine Pläne.“[343] „Unter der drückenden Last eines Schuldenbergs entschließt er sich, seine Energie ausschließlich auf ein Projekt zu richten: die Herstellung eines neuartigen Fotopapiers.“[344] 
Ein Vorbild für Baekelands Forschung war Ernest Solvay, ebenfalls Belgier, dieser hatte 1861 sein erstes Patent zur technischen Produktion von Soda eingereicht und somit ein weltweit erfolgreiches Unternehmen in der Produktion von Natriumcarbonat begründete (Firma Solvay).[345] Baekeland konzentrierte sich also darauf, eine bahnbrechende Entdeckung zu machen, wobei er nicht etwa ideelle Ziele verfolgte sondern von rein finanziellen Interessen geleitet wurde. „Im Jahr 1892 erfand er das Fotopapier Velox, wodurch man erstmals mit künstlichem Licht kopieren, Fotos schnell entwickeln und fixieren konnte.“[346]

So war Velox nicht einfach ein schwarzweiß Fotopapier, es war ein „game-changer“.[347] Denn genau zu diesem Zeitpunkt, Anfang der 1890er, entwickelte sich die Fotografie zu einem Massenmarkt.[348] 

George Eastman, der Gründer von Kodak, hatte kurz zuvor die erste Schnellschusskamera (1888) und den ersten Zelluloidrollfilm (1889) auf den Markt gebracht.[349] So warb Kodak mit dem Slogan: „You push the button; we do the rest“.[350] So basierte Kodaks Geschäftsmodell zunächst darauf, dass man die Kamera mit den gemachten Aufnahmen per Post an Kodak schickte und die entwickelten Bilder zusammen mit der wieder aufgeladenen Kamera zurückerhielt.  Diese Prozedur änderte sich jedoch durch die Erfindung des Zelluloidfilms, folglich musste nur noch dieser versendet werden. Jedoch gab es immer noch das Problem, gleichbleibende Fotoabzüge zu machen. Eine Möglichkeit bestand darin, Platin zu verwenden. Dies war nicht nur teuer sondern auch zeitaufwendig. So gab es andere, preisgünstigere Prozesse, jedoch waren diese Fotopapiersorten allesamt mit Mängeln behaftet. Die fertigen Abzüge hatten eine schlechte Abstufung und waren fade; oder sie waren körnig, streifig oder beschädigt.

Baekeland erkannte die Marktlücke und machte Experimente mit Silberchlorid. Trotz seiner vorherigen Erfahrungen im Fotoplattenbereich, die auf Bromid-Emulsionen basierten, entschied er sich jedoch dazu, ein Fotopapier auf Chlorid-Basis zu entwickeln. So hatten Bromid-Emulsionen zwar eine schnellere Entwicklungszeit sowie mehr Lichtempfindlichkeit, aber mit Chloriden konnte die Empfindlichkeit entsprechend  angepasst werden, so dass ein Spektrum zwischen matten oder kontrastreichen Abzügen ermöglicht wurde. Baekeland kostete es monatelange Arbeit, die mit vielen Rückschlägen verbunden war, um zu einem erfolgreichen Ergebnis zu kommen. So zeigen seine Laboraufzeichnungen, dass er mit über

50 verschiedenen Formeln experimentierte bevor er Velox erfand. Akribisch wertete er jede Formel nach verschiedenen Gesichtspunkten, wie Empfindlichkeit, Tonanbstuffungen, Lagerbeständigkeit und Permanenz aus. Nachdem er nun die beste Formel gefunden hatte und in der Lage war, Velox in Masse zu produzieren, taten sich neue Schwierigkeiten auf. In den Sommermonaten war es häufig im Hudson River Tal heiß und feucht, dies führte dazu, dass sich Fotoemulsionen verklebten. Folglich gab es Tage oder Wochen, an denen es  Baekeland unmöglich war, mit seinen Beschichtungen zu experimentieren. Er löste dieses Problem, indem er seine eigene Klimaanlage entwickelte. Diese funktionierte folgendermaßen: Die Außenluft wurde zunächst über Eis geleitet, so dass die Feuchtigkeit kondensierte, hiernach sorgte ein Wärmetauscher für entsprechende Temperaturen. Der Vorgang war nicht gerade energieeffizient, aber erfüllte seinen Zweck. Baekeland bemerkte erst später, dass andere bereits ähnliche Konzepte realisiert hatten.

 

Zur Vermarktung von Velox gründete er die Nepera Chemical Company, doch die Wirtschaftskrise von 1893 setzte der Firma zu.[351]  Glücklicherweise fand Baekeland einen Investor namens Leonard Jacobi, einem Altmetallhändler aus San Francisco.[352] Dies ermöglichte ihm, eine Fabrik in Yonkers, New York, zu gründen.[353] Innerhalb der folgenden Jahre erschloss Velox große Marktanteile.[354] So richtete sich Velox an die Amateurfotografen, die zumindest >>bereit waren, sich die Mühe zu machen, unsere Anweisungen zu lesen und zu befolgen>>.[355] Zum Glück rissen sich die vorurteilsloseren Amateure bald nach Velox.[356] „Damit konnten sie ihre Photos rasch und relativ bequem zu Haus entwickeln oder den neuen, viel preiswerteren Labors anvertrauen, die bald überall eröffneten, um von der neuen, schnelleren Entwicklungsmethode zu profitieren.“[357] So ermöglichte Velox außergewöhnlich gute Abstufungen sowie satte schwarzblaue Töne.[358] Des Weiteren waren die Abzüge äußerst haltbar. Velox wurde in verschiedenen Ausführungen angeboten, dies ermöglichte den Fotoentwicklern Abzüge von Negativen zu machen, die dünner oder schwerer waren als normal. Velox war zudem anwenderfreundlich und erzielte gleichbleibende Resultate. Bei den meisten anderen Fotopapiersorten jener Zeit mussten die Negative und das Fotopapier in einen Kopierrahmen gelegt werden, der dem Tageslicht ausgesetzt wurde. So war das Entwicklungsresultat eine Art Ratespiel, da man nie genau festlegen konnte, wie lange man den Kopierrahmen der Sonne aussetzen sollte. Velox hingegen wurde “gaslight paper“ genannt, das für Kunstlicht erfunden wurde.

 

Velox ermöglichte es jedem Geschäftsbesitzer eine kleine Dunkelkammer zu errichten und diese mit geringem Personalaufwand zu betreiben. Fotografie war nun durch diese Erfindung für jedermann zugänglich gemacht worden. So löste Kodak einen Boom aus, der jedoch erst durch die Erfindung Baekelands ermöglicht wurde. 

 

Nachdem die Nepera Chemical Company profitabel wurde, stand Baekeland vor der Wahl, die Fabrik zu expandieren oder zu verkaufen und sich erneut der Forschung zu widmen. Er entschied sich zu verkaufen und hoffte, genug Geld zu erhalten, um sich der Forschung und Beratung widmen zu können. George Eastman, der damals schon auf eine Monopolstellung bedacht war, erkannte die Situation und lud den jungen Chemiker zu Verhandlungen ein.[359] „Baekeland ging mit der festen Absicht zu dem Chef des Fotoimperiums, um 50 000 Dollar für sein Velox zu verlangen.“[360] „Notfalls würde er sich auf  25 000 runterhandeln lassen.“[361] Nach Abschluss der Gespräche stand ein Vertrag, der Baekeland zu ungeahntem Reichtum führte.[362] Eastmann zahlte ihm 750 000 Dollar, damals so viel Wert wie 25 Millionen Dollar, für die Rechte, das neue Fotopapier ausschließlich produzieren zu dürfen.[363] „Baekeland musste sich aber zugleich verpflichten, die nächsten 20 Jahre keine Fotochemikalien mehr zu entwickeln und herzustellen.“[364] Das bis dahin grünumwickelte Velox kam daraufhin in der berühmten gelb-schwarzen Packung auf den Markt und sollte Kodak jahrzehntelang Profite bescheren.[365]

Baekeland war nun im Alter von 35 finanziell unabhängig. So sagte er “I found myself in comfortable finacial circumstances“, und “ ready to devote myself […] to my favourite studies.[366] Später sollte er gesagt haben: “Then truly began the very happiest period of my life“.[367]

Er zog mit seiner Familie nach “Snug Rock“, einer dreistöckigen Villa mit Blick auf den Hudson River. Das Anwesen besaß einen großen Stall, in dem er sich ein Laboratorium für Elektrochemie einrichtete.“[368]

Celine genoss im Gegensatz zu ihrem Mann das Luxusleben.[369] Baekeland strebte nach einem einfacheren und nüchternen Leben.[370]

„Der Verkauf an Eastman Kodak war eine bessere Werbung für Baekeland, als er sich mit noch soviel Geld hätte kaufen können.“[371] „Genau in dem Augenblick, als er keine Arbeit mehr brauchte, trafen die Angebote zahlreicher Firmen bei ihm ein, die ihn, koste es, was es wolle, als Berater gewinnen wollten.[372]

 

4.3) Elektrochemie

 

Baekeland begann jedoch nun intensiv zu forschen  und stellte je nach Bedarf auch Assistenten ein. „Ihn faszinierten die neuen Entwicklungen der Elektrotechnik.“[373] 

 „Um sich weiterzubilden, kehrte er noch einmal nach Europa zurück und studierte im Wintersemester 1900/01 an der damaligen Technischen Hochschule Charlottenburg bei Berlin Elektrotechnik – in direkter Nachbarschaft der Unternehmen Siemens, AEG und Rütgers.“[374] Nachdem er in die USA zurückkehrte, begann Baekeland 1903 an einem Verfahren zur industriellen Herstellung von Natronlauge und Chlor aus Kochsalz zu arbeiteten.[375] Beide Stoffe waren und sind von großer Bedeutung für die Industrie. Der Prozess hierzu wurde von Clinton P. Townsend, einem Patentprüfer, und Elmer A. Sperry, dem späteren Erfinder des Gyroskops, entwickelt.[376] Nachdem Townsend seine Diaphragma-Zelle patentiert hatte, verkaufte er die Rechte hieran an Elon H. Hooker, der wiederum Baekeland als ganzzeitlichen Berater für die Installation einer Testanlage mit zwei Zellen in Brooklyn engagierte.[377] 

Vom Prinzip her ist die Townsend Zelle recht einfach zu beschreiben: Ein Tank mit Lauge wird einem elektrischen Feld ausgesetzt, so dass sich Chlor und Natronlauge unter Wasserstoffausschuss bilden.[378] Das Problem hierbei jedoch ist, dass enorme Mengen an elektrischer Energie benötigt werden (die erste kommerzielle Zelle veranschlagte 2000-2300 Ampere), weswegen die Testanlage direkt an einem Edison-Kraftwerk stand. Die Pilotanlage war nötig, da sich zwischen Laborexperimenten und deren Anwendung im industriellen Maßstab oft unvorhergesehene Schwierigkeiten ergaben. Townsend hatte zwischen der Anode und der Kathode ein Diaphragma gesetzt, wodurch er einen Weg fand, das Chlor, die Natronlauge und den Wasserstoff zu trennen. Baekeland verbesserte den Prozess, indem er die Korrosion verringerte und den Stromverbrauch reduzierte. Des Weiteren verbesserte er die Arbeits- und Sicherheitsbestimmungen. Baekelands Arbeit an diesem Projekt führte zu zwei seiner frühesten Patente und 1903 zur Gründung der Hooker Electrochemical Company.[379] Diese baute 1905 an den Niagara Fällen eine der größten elektrochemischen Anlagen der Welt. Dort war Baekeland nun verantwortlich

für die nun im vollen Maßstab zu errichtenden Elektrolytischen Zellen. Nach der Fertigstellung der Anlage hat Baekeland gesagt: „Commit your blunders on a small scale and make your profits on a large scale“.

Für die darauffolgenden Jahre fungierte Baekeland weiterhin als Beratender für die Firma.

 

4.4.) Der Weg zum Bakelit

 

Während seiner Zeit als Berater war Baekeland vielseitig interessiert.[380] Er suchte ein Anwendungsgebiet, das einem Erfinder wie ihm die besten Chancen für eine bahnbrechende Entwicklung bot.[381] Hierzu recherchierte er systematisch in Patentschriften und Chemiezeitschriften.[382]

Zunächst interessierte ihn die Auswirkung von Röntgenstrahlen und ultraviolettem Licht auf organische Substanzen, wobei er auf der Grundlage von Sojabohnen versuchte, einen besseren Produktionsprozess für Nitrozellulose zu erfinden.[383] Es ist nicht überliefert, warum und wieso er seine Aufmerksamkeit plötzlich in Richtung der Phenole und Aldehyde, den Grundstoffen von Bakelite, richtete. Jedenfalls ist bekannt, dass er mit den Forschungen vertraut war, die in den Jahren zuvor in Europa gemacht wurden.

Seine Aufzeichnungen belegen, dass auf diesem Gebiet lange ergebnislos geforscht wurde.[384] Dies zeigt auch nachfolgend der von Baekeland verfasste Artikel in der Chemiker-Zeitung.

Der Artikel ist in vier Abschnitte gegliedert, die in unterschiedlichen Ausgaben, aber aufeinanderfolgend, veröffentlicht wurden. Dabei geht Baekeland im ersten und teilweise im zweiten Abschnitt detailliert auf die (Miss-)Versuche seiner Mitkonkurrenten ein. Hier wird der Artikel mit entsprechenden Kommentaren verknüpft.

Baekeland präsentiert nachfolgend seine eigenen, gelungenen Forschungen und schildert detailliert den Entwicklungs- und Erfindungsprozesses von Bakelite. Die Ausführungen Baekelands zeigen, welche Versuche und Arbeitsschritte er unternahm, um letztendlich Bakelite zu kreieren. Nach der Darstellung des Artikels erfolgt zum besseren Verständnis eine kurze Analyse.

Wie bereits Eingangs vermutet, hat Baekeland diesen Artikel bewusst in der deutschen Chemiker-Zeitung lanciert, da er bisher keine Partner auf Seiten der Industrie fand, um sein Verfahren im entsprechenden Maßstab zu verwirklichen. Wie sich später noch zeigen wird, las der Chef-Chemiker der Rütgers-Werke diesen Artikel und kooperierte mit Baekeland.   

            Abb. 8

 

 

4.4.1) Chemiker Zeitung I.

 

Frühere Arbeiten über synthetische Harze. Es ist seit vielen Jahren bekannt, daß Formaldehyd auf Phenole einwirkt.“ Die Reaktion ist nicht sehr einfach, was allein dadurch bewiesen wird, daß sehr verschiedene Resultate erhalten werden können, je nachdem die äußeren Bedingungen oder die gegenseitigen Mengen der reagierenden Körper verändert werden. Aus denselben Rohstoffen kann man Körper, welche in chemischer und physikalischer Hinsicht durchaus ungleich sind, gewinnen. Einige von diesen Kondensationsprodukten sind in Wasser löslich, einige sind krystallinisch, während andere amorph und harzig sind. Von den harzigen Produkten sind manche leicht schmelzbar und in Alkohol und ähnlichen Lösungsmitteln löslich, während andere unlöslich und vollständig unschmelzbar sind. Im folgenden wird ein Produkt der letzteren  Klasse behandelt werden. Die ganze Art des Themas zwingt mich aber, vorher einen kurzen historischen Abriß zu geben, welcher uns erlauben wird eine klarere Idee von dem Bereich meiner Arbeit zu erlangen und sie von früheren oder jetzigen Versuchen über ähnliche Gegenstände zu unterscheiden.

Daß Phenole und Aldehyde aufeinander reagieren, wurde schon im Jahre 1872 von

Ad. Baeyer und anderen bewiesen. Die Substanzen welche dieser Forscher erhielten, waren nur von theoretischen Interesse, und es wurde kein Versuch gemacht, sie technisch zu verwenden. Außerdem waren die Methoden ihrer Darstellung zu kostspielig und unsicher; die Eigenschaften einiger dieser harzigen Verbindungen waren zu unbestimmt, um daraus für ihre technische Verwendung Schlüsse zu ziehen. Bis 1891 wurden bei synthetischen Versuchen mit Formaldehyd meistenteils seine chemischen Verwandten, Methylal. Methylenacetat oder Methylenhaloide, angewandt.

„Mit dem Auftreten von  billigen Formaldehyd im Handel nahm Kleeberg die Sache wieder auf. Er gebrauchte eine Formaldehydlösung in Verbindung mit Phenol bei Gegenwart von starker HCL. Unter von selbst eintretender Erhitzung erhielt er eine klebrige Substanz, welche bald zu einer harten, unregelmäßigen Masse erstarrte. Letztere ist unschmelzbar, unlöslich in allen Lösungsmitteln und widersteht den meisten chemischen Reagenzien. Kochen mit Alkalien, Säuren oder Lösungsmitteln entzieht der Masse nur kleine Mengen von Verunreinigungen.

Desweiterem kritisierte er Kleeberg wie folgt: „Da Kleeberg  diese Substanz weder krystallisieren, noch bis zur konstanten Zusammensetzung reinigen konnte und überhaupt nicht mit ihr anfangen zu vermochte, so beschrieb er diese Verbindung nur in wenigen Zeilen, ließ die Arbeit liegen und wandte sich jenen schönen  krystallisierenden Verbindungen zu, welche durch Einwirkung  von Formaldehyd durch auf Polyphenole, Gallussäuren usw. erhalten werden. Die Masse, welche nach der Kleebergschen Methode gewonnen wird, ist eine harte, unregelmäßig Poröse, freie Säure enthaltende Substanz. Die freie Säure kann nur schwer entfernt werden, wenn die Masse gepulvert mit Wasser oder alkalischen Lösungen gekocht wird. Wie wir später sehen werden wird diese Porosität durch die Entwicklung gasförmiger Produkte während des Erhitzens verursacht.“[385]

 

Um 1900 forschten weitere Chemiker an der Reaktion zwischen Phenol und Formaldehyd.[386] So auch Athur Smith, über dessen Versuche Baekeland folgendes schreiben wird: „Im Jahre 1899 versuchte Arthur Smith, der wahrscheinlich einsah, daß Kleebergs Methode nicht zur Entstehung homogener führte, die heftige Reaktion dadurch zu mäßigen, daß er ein Lösungsmittel wie Methyl- oder Amylalkohol anwendete, in welchem er die reagierenden Körper , sowie das Kondensierungsmittel (Salzsäure) löste. Aber wenn er auch Formaldehyd gebrauchte, war die Reaktion viel zu heftig; deshalb benutzte er an dessen Stelle den kostspieligen Acetaldehyd und Paraldehyd, oder Polymere des Formaldehyds. Nach der Reaktion dampfte er das Gemisch langsam ein und verjagte das Lösungsmittel

 bei 100° C. So erhielt er nach einiger Zeit eine harte Masse in Platten oder Schwarten, welche gesägt, geschnitten oder poliert werden konnten. In seinem deutschen Patent vertritt er die Anschauung, daß bei seiner Methode Methyl- oder Amylalkohol nicht nur als Lösungsmittel wirken, sondern auch an der Reaktion teilnehmen, und daß dieses durch die Farbe des Endproduktes, welche von der Natur seines Lösungsmittels abhängt, klar bewiesen wird. Er bemerkt, daß das Trocknen 12-30 Stunden in Anspruch nimmt. Meine eigene Erfahrung geht aber dahin, daß es sogar einiger Tage bedarf, um das Lösungsmittel genügend auszutreiben, und daß es nach einigen Monaten noch der Geruch von langsam freiwerdendem Lösungsmittel stark bemerkbar ist. Während des Trocknens habe ich in allen Fällen ein Verziehen und unregelmäßiges Einschrumpfen der Masse bemerkt, was die Methode für ein genaues Formen unbrauchbar macht.“[387]

 

Durch die aufstrebende Elektroindustrie stieg die Nachfrage nach dem Naturharz Schellack.[388] Dies führte zu einem rapiden Preisanstieg des Schellacks, der aus dem harzigen Sekret der weiblichen Lackschildlaus gewonnen wurde, auf über einen Dollar pro Pfund.[389] „Solange man den Schellack nur als Lack und Schutzmittel für Holzprodukte verwendet hatte, reichten die traditionellen Herstellungsmethoden der Länder, die diese Harzmasse gewannen, aus, um der weltweiten Nachfrage zu genügen.“[390] Aber 1900 führten allein die USA über eine Million Pfund Schellack pro Jahr ein.[391] „Wenn das Weibchen der Laccifer lacca, eine in Südostasien heimischen Schildlaus, sich an die saftreichen Triebe der Bäume heftet saugt es den Saft heraus und sondert sodann ein Harz ab, das sich allmählich ansammelt, bis das Tier schließlich in eine transparente bernsteinfarbene Schale eingehüllt ist.“[392] „Nachdem es sich ein paarmal vermehrt hat, stirbt es, in den eigenen Ausscheidungen gefangen“.[393]

 Für die Harzgewinnung wuden die toten Schalen von den Bäumen gesammelt und stundenlang über Holzfeuer in eisernen Töpfen geschmolzen und dann filtriert.[394] „Da fünfzehntausend Lackschildläuse sechs Monate brauchen, um genug Harz für ein Pfund Schellack zu erzeugen, waren die Kosten für diese einzig praktikable Isoliermasse plötzlich nicht mehr zu bezahlen.“[395] Folglich wurde also nach einem geeigneten Ersatzstoff gesucht. Einige Chemiker vermuteten diesen bei den sogenannten Novolaken, ein Begriff den Baekeland erst später einführte, zu finden.[396] Wie bereits dargelegt handelt es sich hierbei um Phenol-Formaldehyd Produkte, die nicht permanent fest sind, sondern löslich in Alkohol und schmelzbar bei hohen Temperaturen. Andere Forscher hofften, einen Ersatzstoff für Hartgummi zu finden, der ebenfalls zur elektrischen Isolierung verwendet wurde.[397] Trotz zahlreicher Versuche kam niemand zu brauchbaren Ergebnissen. Es wurde auf Grundlage verschiedenster Edukte experimentiert, so wurden Säuren oder Basen als Katalysatoren verwendet, es wurde mit oder ohne Wasser versucht, auch Hitze und Druck wurden nach Zeit und Intensität variiert. Alle Versuche endeten damit, dass sich entweder eine sirupartige und poröse Masse bildete oder ein bernsteinfarbener Feststoff, der manchmal löslich und manchmal unlöslich war. Auch in Bezug auf die Hitzebeständigkeit und elektrische Leitfähigkeit kam man zu keinem durchschlagenden Ergebnis. Alle Stoffe waren in dem Fall einheitlich, dass sie sich nicht chemisch analysieren ließen. So hatte sich seit Baeyer und Kleeberg nichts geändert, bis auf die Tatsache, dass nun klare wirtschaftliche Interessen an einem brauchbaren Ergebnis gab.      

Baekeland wollte mit seiner Forschung vielmehr als einen universell nutzbaren Stoff und weniger einen Ersatzstoff für eine einzelne Anwendung finden.

Zur Realisierung seiner Ideen wandelte er 1904 sein Laboratorium in Yonkers in ein Technikum zur Kondensation von Phenol mit Formaldehyd um.[398] „Sein Ziel war ein neuer Werkstoff, der beständiger als Holz, leichter als Eisen und haltbarer als Gummi sein und die Elektrizität „bändigen“ sollte.“[399] Zur Unterstützung stellte Baekeland Nathaniel Thurlow ein, einen Chemiker, den er bei seinem Arbeiten an den Niagara Fällen kennenlernte.[400] Thurlow schien ihm als fähig, da dieser bereits ein Patent zur Synthese von Kampfer aus Terpentin inne hatte. Die beiden forschten zunächst an Novolaken. Baekeland beschäftigte sich nun mit dem unlöslichem aber dem porösen und spröden Produkt, das Kleeberg beschrieben hatte. Seine Festigkeit und die chemische Stabilität standen im Gegensatz zu den natürlichen Harzen, jedoch musste der Herstellungsprozess kontrollierbar gemacht werden.

 

Der österreichische Chemiker Adolf  Luft hatte den Kleeberg-Prozess bereits 1902 modifiziert, indem er Lösemittel wie Kampfer Glycerin oder Alkohol am Ende der Reaktion beigab. So vermutete Luft, dass Kleeberg vielleicht doch auf der richtigen Spur gewesen war.[401] Luft unternahm gezielt den Versuch, ein zelluloidartiges, hartes Plastik zu entwickeln.[402] So erwähnte Baekeland auch Lufts Forschungen in seinem Artikel: „Im  Jahr 1902 versuchte Adolf Luft diese Schwierigkeiten auf einem etwas ähnlichen Wege zu beseitigen. Wie Kleeberg gebrauchte er auch ein Gemisch von Formaldehyd, Phenol und einer Säure; aber da er die Mängel des Produktes kannte, und eine formungsfähige plastische Masse daraus zu machen wünschte, vermischte er geeignete Lösungsmittel, wie Glycerin, Alkohol oder Campher mit der Masse vor dem Erhärten. Er arbeitete genau wie Smith, nur mit dem Unterschiede, daß er sein Lösungsmittel hinzugab, nachdem die Hauptreaktion vorüber war, und sein saures Kondensationsmittel in wässriger Lösung benutzte. Sein Ziel, wie er es in der Patentanmeldung klar ausdrückt, war, eine Masse zu erhalten, welche „durchsichtig und mehr oder weniger plastisch“ bleibt. Nachdem er sein Gemisch in eine passende Form gegossen hat, trocknete er bei einer Temperatur von ungefähr 50° C. Auch er sucht die Vorteile in den Lösungsmitteln, und in seinem deutschen Patent (Seite 1, Zeile 44) sagt er, daß 2-10% von dem Glycerin in der Masse bleiben müssen; weiter verfährt er so, daß  der gesamte teure Campher in dem Gemisch festgehalten wird. Das Verfahren von Luft erscheint vollkommen als ein Versuch, eine plastische Masse, wie Celluloid, darzustellen und zu benutzen.

Die Ähnlichkeit wird durch den Gebrauch von Campher und denselben Lösungsmitteln, wie bei der Celluloidfabrikation, noch vergrößert. Ich habe Lufts Produkt hergestellt; es ist verhältnismäßig spröde, bedeutend weniger zähe und biegsam als Celluloid; bei erhitzen erweicht es schmilzt aber nicht, in Aceton quillt es auf, durch passende Lösungsmittel werden ihm Campher und Glycerin entzogen.“[403]

„Der britische Elektroingenieur James Swinburne warf einen Blick auf Lufts Stoff und sagte: Es sieht aus wie gefrorenes Bier!“[404] Swinburne war es klar, dass dies wegen seiner hitzeabweisenden Eigenschaften ein vielversprechendes Material für die Isolation von elektrischen Hochspannungsleitungen war, und gründete 1904 „The Fireproof Celluloid Syndicate Ltd.“, um Lufts Erfindung industriell zu vermarkten. Jedoch war der Stoff zu spröde und instabil, um von kommerziellen Nutzen zu sein, weshalb Swinburne die nächsten Jahre damit verbrachte, ein Lösungsmittel zu finden, das ihm die nötige Festigkeit verleihen würde. Nachdem Swinburne im Ätznatron das richtige Lösungsmittel entdeckt hatte, wollte er seinen Anspruch als Erfinder beim britischen Patentamt anmelden. Aber wenige Stunden nach seiner Ankunft sagte man ihm, dass ihn ein amerikanischer Konkurrent namens Leo Baekeland um einen (!) Tag zuvorgekommen sei.

 

Zu seinen Versuchen in Form eines Schellack-Ersatzes schrieb Baekeland folgendes in der Chemiker Zeitung: „Jetzt kommen wir zu einem Versuch anderer Natur, nämlich zur Bildung von löslichem, synthetischem Harze, allgemein bekannt als Schellack-Surrogate. Louis Blumer kocht ein Gemisch von Formaldehyd, Phenolen und einer Oxysäure, besonders Weinsäure, und erhält einen schmelzbaren, in Alkohol löslichen, harzigen Stoff, welchen er als Schellackersatz empfiehlt. Diese Substanz ist in Natronlauge löslich; sie kann wiederholt geschmolzen werden und besitzt die Eigenschaften eines natürlichen Harzes. In seiner ursprünglichen englischen Patentanmeldung legt Blumer auf den Gebrauch einer Oxysäure und scheint der Überzeugung zu sein, daß letztere hervorragenden Anteil an der Reaktion nimmt. Er gebraucht auf je ein Molekül Säure je zwei Moleküle Phenol und Formaldehyd. Nathaniel Thurlow hat in meinem Laboratorium vor einigen Jahren bewiesen, daß derselbe Stoff erhalten werden kann, wenn man äußerst kleine Mengen anorganischer Säure anwendet. Er hat weiter gezeigt, daß äquimolekulare Verhältnisse nicht nötig, sondern schädlich sind, wenn die Reaktion so ausgeführt wird, daß kein Formaldehyd verloren geht.“[405] „Um ein schmelzbares, lösliches Harz zu erhalten, muß mehr als ein Molekül Phenol angewandt werden, wenn kein Formaldehyd bei der Reaktion verloren gehen soll.“[406] Um falschen Auffassungen vorzubeugen, weise ich darauf hin, daß das Harz von Blumer und Thurlow verhältnismäßig sehr spröde ist, spröder als Schellack, und daß kein noch so langes Erhitzen es zu einem unschmelzbaren unlöslichen Produkt verändert.

„Etwa ein Jahr später versuchte E. H. Fayolle, Guttapercha-Ersatzmittel durch eine Abänderung der Luftschen Methode herzustellen. Zu der Schwefelsäure, welche Kondensationsmittel gebraucht wurde, gibt er große Mengen Glycerin, und erhält eine Masse, welche plastisch stabil bleibt, erweichbar ist und in der Wärme geknetet werden kann. Mir gab ein entsprechender Versuch eine spröde, unerfreuliche Substanz, aus der es sehr schwer, ja geradezu unmöglich war, die freue Säure zu entfernen, ohne zur gleichen Zeit einen großen Teil des Glycerins mit auszuwaschen. n dieser Beziehung scheint Lufts Methode, das Glycerin nach dem Wegschaffen der Säure hinzuzufügen, weitaus zweckmäßiger zu sein. Später modifizierte Fayolle seine Methode durch den Zusatz einer großen Menge Pech („Brai“) und Öl, und versuchte dadurch einen Guttaperchaersatz zu erhalten, welcher beim Erhitzen erweicht und plastisch bleibt.

1905 gab Story folgenden Weg an: Er sieht von Gebrauch eines Kondensationsmittel und dem Zusatz weiterer Lösungsmittel ab, benutzt aber einen bedeutenden Überschuss von Phenol.“[407] „Er nimmt 3 Teile Formaldehyd (40%ig) und 5 Teile Kresol (95%ig) oder Carbolsäure, letztere also in mehr als äquimolekularem Verhältnis. Dieses Gemisch kocht er 8-10 Stunden, dann konzentriert er in einem offenen Gefäß,  wodurch Wasser und etwas Formaldehyd abgetrieben werden und der Überschuss an Phenol noch vergrößert wird; nachdem das Gemisch klebrig geworden ist, gießt er es in passende Formen, kühlt ab, und härtet es durch langsames Trockenen unter 100° C. oder wie es in seinem Patent angegeben ist, bei ungefähr 80° C. Sein Produkt ist unschmelzbar und unlöslich.  Aber dieses Verfahren hat große Mängel, die ich kurz beschreiben werde, und die Story selbst später erkannte.

Seine Methode verlangt notwendiger Weise viel Zeit. Wenn man sein langes Kochen zu Beginn außer acht läßt, so ist die Härtung bei Temperaturen unter 100° C. wirklich ein Trocknen, wobei der Überschuß an Phenol, welches als Lösungsmittel gewirkt hat, ausgetrieben wird. Ich habe das durch Versuche, bei denen die Härtung in geschlossenen Gefäßen unter 100° C. ausgeführt wurde, bestätigen können, und es gelang mir, neben dem ausgeschiedenen Wasser auch Phenol aufzufangen. Das Abdampfen oder Trocknen kann mit genügender Schnelligkeit bei dünnen Schichten oder dünnen Platten erfolgen, aber bei Masse von genügender Dicke beansprucht es Wochen oder Monate; und auch dann wird die möglichst größte Härte oder Stärke bei solchen niedrigen Temperaturen nicht erreicht. Dies alles bedeutet nicht nur einen großen Zeitverlust, sondern bedingt auch die lange Benutzung kostspieliger Formen – ein sehr bedeutender Posten für die fabrikmäßige Kalkulation – ferner geht während des Trocknens das Abdampfen am schnellsten auf der Oberfläche vor sich, was unregelmäßige Zusammenziehung und starke Spannungen verursacht, so daß mißgestaltete Gegenstände mit Rissen und Spalten entstehen. Story bemerkt, daß die Reaktion sich sehr langsam vollzieht, wenn reines Phenol gebraucht wird, und ich kann hinzufügen, daß in solchem Falle die Reaktion nur unvollkommen sattfindet, sogar nach anhaltendem Kochen während einiger Tage. Bei einigen meiner Versuche mit reinem krystallisierten Phenol des Handels und 40%igem Handelsformaldehyd erhielt ich nicht die Produkte vom unlöslichem Typus, sondern solche, welche den löslichen und schmelzbaren Produkten von Blumer und Thurlow ähnelten. 

Im weiteren Sinne ist die Methode von Story der von Luft sehr verwandt, nur mit dem Unterschiede, daß ersterer kein saures Kondensationsmittel hinzufügt und, daß er anstatt eines Lösungsmittels, wie Alkohol Glycerin oder Campher, ein besseres und billigeres benutzt, nämlich einen Überschuss an Phenol.“[408] „Eine weitere Ähnlichkeit  mit den Verfahren von Luft und Smith besitzt die Methode von Story darin, daß sie, wie er selbst in seiner Patentschrift sagt, eine trocknende Methode ist (drying method). Gerade wie Smith und Luft vermeidet auch Story sehr sorgsam Temperaturen von über 100° C. für das Abtreiben seiner Lösungsmittel.

Bald nach Story reichte Dr. Laire ein französisches Patent ein für die Bereitung von löslichen und schmelzbaren Harzen, entweder durch Kondensation von Phenolen und Formaldehyden in Gegenwart von Säuren – in ähnlicher Weise wie Blumer und Thurlow – mit nachfolgendem Schmelzen dieses Produktes, oder aber durch auflösen von Phenol in alkalischen Laugen in molekularen Verhältnis, mit nachfolgendem Niederschlagen der wässerigen Lösung mit einer Säure und folgendem Verharzen des niedergeschlagenden Produktes durch Schmelzen. Ich möchte daran erinnern, daß die französischen Patentgesetze Patente ohne irgend eine Prüfung auf Neuheiten erteilen, und daß Laire hier einfach die alten bekannten Methoden von Lederer und Manasse verwendet, nach welchen ein Phenolalkohol durch die Einwirkung von Formaldehyd auf eine wässrige Lösung eines Phenolats und spätere Behandlung mit Säure bereitet wird. Es ist wohlbekannt, daß diese Phenolalkohole, z. B. Salegenin, wenn sie allein oder mit einer Säure erhitzt werden unvollständige Anhydride, Saliretin und Homosaliretin genannt, bilden: C14H14Ooder

C6H4(OH)CH2C6H4CH2OH welche schmelzbar, löslich in Alkohol und Natronlauge sind, und welche aus ihrer Lösung in Lauge durch Chlornatrium niedergeschlagen werden.

„Trisaligenosaligenin, C28H26O3 oder 4C7H8O2 – 3H2O, und Heptasaligenosaligenin C56H50O9 oder 8C7H8O9 sind beide höhere Anhydride von ähnlich harzigen Charakter; ersteres wird durch die Wirkung von Schwefelsäure, letzteres durch die Einwirkung von Essigsäureanhydrid auf Saligenin erhalten. Das nächste Homologe des Saliretins, Methylsaliretin oder Homosaliretin, hat die gleichen Eigenschaften wie Saliretin, schmilzt bei 200° C. oder 205° C. und ist weniger löslich. So ist es kein Wunder, daß die englischen und deutschen Patente von Dr. Laire in Text und Ansprüchen sehr verschieden von den französischen sind: die Ansprüche sind auf eine Methode, bestehend in der Verharzung von Phenolalkoholen durch Erhitzung unter vermindertem Drucke oder im Vakuum, beschränkt. Die Harze von De Laire sind schmelzbare, lösliche Produkte.“[409]

 

4.4.2) Chemiker Zeitung II.

 

„Um die Aufzählung aller Methoden, bei denen Alkalien gebraucht werden, zu vervollständigen, sind noch zwei Prozesse zu nennen, die auf ganz andere Produkte, als die soeben erwähnten, hinzielen. Speyer bereitet ein Antiseptikum, welches leicht CH2O abgibt. Für diesen Zweck benutzt er Naphthol oder Polyphenole, wie Resorcin oder Pyrogallol, und gibt einen Überschuß von Ammoniak und von Formaldehyd hinzu; er erhält so ein unlösliches Pulver, welches leicht CH2O und NHabgibt.“[410] Es ist wohl bekannt, daß Ammoniak auf Formaldehyd reagiert und Hexamethylentetramin C6H12Nwelches selbst wieder leicht mit Säuren reagiert und CH2O, NH3 und Methylamin bildet.“[411] „Zwei ganz neue Patente stehen direkt mit der Fabrikation löslicher, schmelzbarer Harze in Beziehung.

Das erste gebraucht o-Kresol, um einen geruchslosen Schellackersatz zu erhalten. Nach dem zweiten, von Grognot, auch für  Schellackersatz, gibt man zuerst Glycerin hinzu und destilliert nach Beendigung der Reaktion das Lösungsmittel ab.

Nachdem ich schon meine eigenen Patente in den Vereinigten Staaten angemeldet, und die Privilegien der Internationalen Konvention erhalten hatte, empfahl Louis Helm den Gebrauch von Aminen oder Ammoniumsalzen als Kondensierungsmittel. Er gibt die chemischen und physikalischen Eigenschaften seiner Harze nicht klar an. Weiter macht er unverständliche Bemerkungen, daß salpetersaures Ammonium so gut anwendbar ist wie Anilin. Ich habe gezeigt (siehe weiter unten), daß bei Anwendung von Ammoniumnitrat das Endprodukt ein schmelzbares, lösliches Harz sein kann, während mit Anilin ein unlösliches unschmelzbares Harz erhalten wird. Es ist wahr, daß Helm große Mengen von Anilin und salpetersaurem Ammonium benutzt; die von ihm angegebenen Verhältnisse kommen den molekularen Verhältnissen sehr nahe, und dies hat, wie ich noch beweisen werde, zweifellos einen großen Einfluß auf die Natur der hervorgehenden Produkte.

Knoll, welcher seine Patente ebenfalls erst nach Anmeldung meiner amerikanischen Patente eingereicht hat, nimmt Natriumsulfit, neutrale, saure oder alkalische Salze als Kondensierungsmittel; dabei läßt er wieder die von mir bewiesene Tatsache außer Acht, daß ganz verschiedene harzige Produkte, je nach Gebrauch einer Säure, eines sauren Salzes, einer Base oder eines alkalischen Salzes erhalten werden können. Damit sei die Besprechung fremder Arbeiten geschlossen.

 

Meine eigenen Arbeiten. Die Beschreibung meiner eigenen Arbeit möchte ich damit anfangen, daß ich auf gewisse Tatsachen kurz eingehe, deren größter Teil den anderen Arbeitern auf diesem Felde unbekannt oder mindestens in ihrer Bedeutung entgangen zu sein scheint. Diese Tatsachen bilden aber die Grundlage meiner technischen Prozesse. Wie schon früher bemerkt, kann die Kondensation von Phenolen mit Formaldehyd je nach den Bedingungen und Mengenverhältnissen zwei ganz verschiedene Klassen von harzartigen Produkten geben: die erste Klasse schließt die Produkte wie sie Blumer, De Laire, Thurlow usw. erhielten, ein. Diese Produkte sind in Alkohol, Aceton und in ähnlichen Lösungsmitteln sowie in Alkalien löslich. Durch Erhitzen schmelzen sie nur, beim Abkühlen erhärten sie wieder. Das Schmelzen und Abkühlen kann beliebig oft wiederholt werden, aber durch weiteres Erhitzen werden sie nicht in Produkte der zweiten Klasse überführt. Sie sind allgemein bekannt  als „Schellack-surrogate“, weil sie gewisse physikalische Eigenschaften des Schellacks besitzen.

Die zweite Klasse schließt die nach Kleeberg, Smith, Luft, Story und Knoll erhaltenden Körper sowohl wie mein eigenes Produkt ein, aber nur insofern ihre allgemeinen Eigenschaften in Betracht kommen. Ein jedes dieser Produkte kann durch sehr bestimmte spezifische Eigenschaften, welche einen entscheidenden Einfluß auf seine technische Verwendung haben, charakterisiert werden. Allgemein kann diese zweite Klasse beschrieben werden als unschmelzbare harzige Substanzen, welche bei der Wirkung von Phenolen auf Formaldehyd entstehen. Einige von ihnen werden mehr oder weniger durch Aceton oder kaustische Alkalien angegriffen oder durch Hitze erweicht. Aber zum mindesten eine dieser Verbindungen wird von Aceton nicht angegriffen und erweicht nicht merkbar bei ziemlich hohen Temperaturen, und kann nicht wieder in Produkte der ersten Klasse zurückgeführt werden, auch nicht wenn es mit Phenol erhitzt wird.

Diese unlöslichen, unschmelzbaren Substanzen können direkt in einer Operation, durch Einwirkung von Formaldehyd auf Phenole, hergestellt werden, z. B. nach der Methode von Kleeberg. Oder sie können auch in zwei Phasen hergestellt werden (Luft und Story); die erste Phase besteht aus einer unvollständigen Reaktion, wobei ein klebriges Produkt, welches in Alkoholen, Glycerin, Campher oder Phenol löslich ist, gebildet wird und bei weiterem Erhitzen oder nach Abtreiben des Lösungsmittels allmählich in ein unschmelzbares Produkt verwandelt werden kann. Um es möglich zu machen, bei der ersten Phase stehen zu bleiben, können die Kondensierungsmittel weggelassen erden (Story), oder die können im geringen Maße gebraucht werden (siehe Luft oben), oder sie können durch passende Lösungsmittel, z. B. Methyl- oder Amylalkohol (Smith) oder Glycerin ( Fayolle) verdünnt werden.

„Bei allen diesen Methoden ist eine Weiterbehandlung vorgesehen, durch die das Lösungsmittel abgetrieben wird.“ Z. B. werden bei der Methode von Smith oder Luft Alkohol oder Glycerin teilweise abgetrieben, bei Storys Methode wird der Überschuß an Phenol auf demselben Wege durch langsames Trocknen unter 100 °C verjagt. Freilich bleibt beim Trocknen ein Teil des Lösungsmittels, entweder um die Biegsamkeit oder Plastizität der Masse zu erhalten, oder unfreiwilligerweise zurück, den es ist bei Temperaturen von oder unter 100 °C unmöglich, die ganze Menge dieser Lösungsmittel, welche von der Masse hartnäckig festgehalten werden, zu entfernen. Wenn ich die Methode Blumen, Thurlow oder De Laire, und im allgemeinen jene, welche schmelzbare und lösliche Harze erhalten wollen, ausnehme, so werden in allen obengenannten Patentanmeldungen Temperaturen von oder weit unter  100 °C. vorgeschrieben. Im Gegensatze dazu habe ich mich durch oft wiederholte Versuche überzeugt, daß Temperaturen über 100 °C, und zwar bedeutend über 100 °C, vorteilhafter, ja für die vollständige und rasche Umwandlung zu einem unlöslichen, unschmelzbaren Endprodukt von ausnahmsweise wünschenswerten Eigenschaften unerläßlich sind. Warum schlagen die genannten Verfasser vor, die letzte Härtung so in die Länge zu ziehen, obgleich diese Methode garnicht das beste, härteste und widerstandsfähige Produkt liefert? Warum empfehlen manche von ihnen Temperaturn wie 80 °C. (Story) und sogar 50 °C. (Luft)? Aus dem einfachen Grunde, weil ihr Anfangsprodukt, wenn es auf zu hohe Temperaturen  erhitzt wird, gasförmige Produkte, größtenteils Formaldehyd, abgibt; dieses verursacht Blasen in der Masse, macht sie schwammig, porös und für technische Zwecke unbrauchbar. Weitere Versuche haben mir bewiesen, daß man es im ersten Stadium des Erhitzungsprozesses mit einem Phänomen zu tun hat, welches alle Eigenschaften chemischer Dissoziation, unter Freiwerdung von CH2O, aufweist. Wenn die Anfangsmasse auf  Temperaturen über 100 °C. erhitzt wird, so wird die Spannung dieses Gases sehr hoch. Bei 100 °C. kann die Spannung bis auf eine Atmosphäre steigen; aber diese Spannung verschwindet sobald das Endprodukt gebildet ist.

Die Kondensationsmittel. „Im historischen Teil meines Vortrages habe ich wiederholt auf den Gebrauch von Kondensationsmitteln verwiesen. Wir haben gesehen, wie Kleeberg, Smith, Luft, Fayolle, Blumer und Thurlow saure Kondensationsmittel verwendeten. Andere wie Speyer, Hentsche, Lederer, Manasse und De Laire, gebrauchten Alkalien, aber jedesmal in verhältnismäßig großen Mengen, ungefähr ein Molekül oder mehr. Die so erhaltenen Substanzen sind sehr verschieden von der Substanz, welche ich jetzt beschreiben werde. Story gibt nun überhaupt kein Kondensationsmittel hinzu. Er leitet die Reaktion durch acht- bis zehnstündiges Kochen mit unreinen Carbolsäure des Handels ein, und beendet dieses Prozeß dann durch noch längeres Trocknen. Wenn aber seine Methode mit reinem oder krystallisiertem Phenol ausgeführt wird, so beansprucht sie ein beständiges Kochen während vieler Tage, ehe eine Reaktion eintritt, und dann ist das erhaltene Produkt von zweifelhaften Charakter, zwischen einem Harz der ersten Klasse (schmelzbar und löslich) und einem Harz der zweiten Klasse (unschmelzbar und unlöslich) schwankend. Es wird höchstwahrscheinlich ein schmelzbares und lösliches Harz sein, wenn die Methode mit einem Überschuß an Phenol ausgeführt wird, oder, wenn auf einem oder dem anderen Wege zuviel CH20 in der Nachkonzentration verflüchtigt worden ist. Wenn ich seiner Beschreibung folgte und 5 Tage lang ein Gemisch von 50 g reinem Krystallisierten Phenol und 30 g 40%igem Handelsformaldehyd am Rückflußkühler erwärmte und dann in einer offenen Schale konzentrierte, erhielt ich das schmelzbare, lösliche Harz von Blumer oder Thurlow, welches bei weiterm Erhitzen schmelzbar bleibt und sich nicht zu dem unlöslichen, unschmelzbaren Produkt ändert, wie es von Story beschrieben wird. Ich erhielt dasselbe Resultat, wenn das Kochen bei Gegenwart von reiner Säure, eines sauren Salzes, oder eines Salzes, welches durch Hydrolysierung sich so zersetzt, daß eine überwiegend saure Reaktion erhalten wird, ausgeführt wurde. Dieser Einfluß wird durch die Salze der Mineralsäuren und Schwermetalle ausgeübt, sogar von Ammoniumchlorid, welches in Gegenwart von CH20 freie Salzsäure gibt.

Wenn ich hingegen alkalisches Salz, oder ein Salz, welches sich bei der Hydrolysierung in eine schwache Säure und eine starke Base spaltet, wie z. B. essigsaures Natrium, verwende, so erhalte ich unter gewissen Umständen ein Harz von dem unlöslichen, unschmelzbaren Typus, sogar wenn bis zu einem gewissen Grade ein Überschuß an Phenol gebraucht wurde. Dies beweist zwingend, daß der allgemeine Charakter der Reaktion durch die Menge des Phenols innerhalb gewisser Grenzen nicht verändert wird. Was tatsächlich stattfinden kann, ist, daß das Endprodukt durch einen etwaigen Überschuß an Phenol, welches später durch einen Trockenprozeß (dem Story ähnlich) abgetrieben werden kann, verunreinigt wird. Ich habe ähnliche Resultate mit vielen anderen alkalischen Salzen, wie Ammoncarbonat, Natriumcarbonat, Kaliumcarbonat, doppelt kohlensaurem Kalium, Trinatriumphosphat, Borax, Kaliumcyanid, Natriumsilicat, Seife usw. erhalten.“[412] „In derselben Weise habe ich schwefligsaures Natrium, welches unter Freiwerden von Natriumhydroxyd nach folgender Reaktion auf Formaldehyd wirkt, benutzt: CH2O+SO3Na2+H2o=CH2OHSO3Na+NaOH.“[413] „Man kann annehmen, daß eine ähnliche Wirkung von allen Substanzen welche direkt oder indirekt als Basen wirken, ausgeübt wird. Mit anderen Worten: die Qualität sowohl wie die Quantität des Kondensierungsmittels haben einen außerordentlichen großen Einfluß auf die Natur der Endprodukte. Für die Fabrikation von unlöslichen, unschmelzbaren Kondensationsprodukten aus Formaldehyd und Phenol haben Basen in mäßigen Quantitäten ganz bedeutende Vorteile. Sie beschleunigen die Reaktion, ohne deren Verlauf stürmisch und unregelmäßig zu machen. Die kleine Menge der Basen, welche in dem fertigen Produkte entweder im gebundenen oder ungebundenen Zustande verbleiben kann, bringt nicht dieselben Nachteile beim technischen Gebrauch mit sich, wie die Gegenwart von freier Säure. Ferner scheinen saure Kondensationsmittel die Bildung von löslichen und schmelzbaren Harzen zu begünstigen, während alkalisch reagierende Stoffe in kleinen Mengen die Bildung von unlöslichen, unschmelzbaren Harzen zu befördern scheinen. Schließlich ist es mir durch den Gebrauch kleiner Mengen von Basen gelungen, ein festes Anfangsprodukt herzustellen, welches Eigenschaften besitzt, die alle Formgebungsoperationen, wie wir später sehen werden, bedeutend erleichtern. Ich habe alle organischen oder anorganischen Basen, welche ich mit leichter Mühe erhalten konnte, probiert. So habe ich die Hydroxyde und Carbonate der Alkalimetalle, Ammoniak und seine alkalischen Salze, Hydroxylamin, organische Amine, Pyridin, Carbamid und andere Amide schwacher Säuren ausgeprobt und einen und denselben Einfluß mit gewissen Schwankungen beobachtet, so daß man stets die billigsten Mittel verwenden kann.

Es sei darauf hingewiesen, daß man, um die gewünschte Wirkung zu erhalten, die Basen in relativ kleiner Menge, weniger als ein Fünftel der Menge, die nötig wäre, um das Phenol zu Phenolat zu verwandeln, gebrauchen muß. Wenn größere Mengen der Base verwandt werden, so sind die Resultate technisch schlechter; in Wirklichkeit nähert sich dann der Prozeß allmählich solchen, welche Phenoalkohole oder zusammengesetzte Kondensationsprodukte von Ammoniak oder Aminen mit Formaldehyd geben; alle diese sind aber ganz andere Produkte, als diejenige, die ich herstellen wünsche. Ich habe Gründe, zu glauben, daß bei meiner Methode die Basen  nur als Katalysatoren wirken und daß sie nur vorübergehend an der Reaktion teilnehmen. Sie scheinen während des letzten Stadiums des Prozesses im freien Zustande ausgeschieden zu werden; wenn ich z. B. Ammoniak benutze, so erhalte ich dieses in dem harten Endprodukt im freien Zustande zurück.“[414]

 

4.4.3) Chemiker Zeitung III.

 

Ausführung der Kondensation. Ein sorgfältiges Studium des Kondensationsprozesses von Phenolen und Formaldehyden hat mich zu der Entdeckung geführt, daß diese Reaktion anstatt in zwei Stufen, auch in drei verschiedenen Phasen ausgeführt werden kann. Diese Tatsache ist von großer Wichtigkeit, als es auf den ersten Augenblick scheint; denn es ist mir dadurch möglich gewesen, ein „Kondensationszwischenprodukt“ zu gewinnen, dessen Eigenschaften die Formung weiter erleichtern und den Bereich der nützlichen Anwendungen meines Verfahrens bedeutend vergrößern. Die drei Phasen der Reaktion können wie folgt beschrieben werden:

 

1.      Bildung eines Kondensationsproduktes, welches ich A nenne;

2.      Bildung eines Kondensationsproduktes, welches ich B nenne;

3.      Bildung eines Kondensationsproduktes, welches ich C nenne.

 

A kann bei gewöhnlichen Temperaturen flüssig, klebrig oder zähe und fest sein. Es ist in Alkohol, Aceton, Phenol, Glycerin und ähnlichen Lösungsmitteln löslich, auch in Natronlauge. Die feste Masse A ist sehr spröde und schmilzt, wenn sie erhitzt wird. Alle Spielarten von A, wenn sie lange genug unter den richtigen Verhältnissen erhitzt werden, werden zuerst in B und schließlich in C verwandelt. B ist fest bei allen Temperaturen. Es ist spröde, etwas härter als das feste A bei gewöhnlichen Temperaturen und unlöslich in Lösungsmitteln; es kann aber in Aceton, Phenol oder Terpineol aufschwellen, ohne ganz in Lösung zu gehen. Wenn es erhitzt wird, so schmilzt es nicht, erweicht aber ganz bedeutend, wird elastisch und etwas gummiartig, beim Abkühlen wieder hart und spröde. Weiteres Erhitzen unter richtigen Bedingungen verwandelt es in C. Obwohl B unschmelzbar ist, so kann es unter Druck in einer heißen Form zu einer homogenen zusammenhängenden Masse geformt, und letztere durch die zweckmäßige Anwendung von Hitze in C verwandelt werden. C ist unschmelzbar; unlöslich in allen Lösungsmitteln; unangreifbar von Aceton; gegen die meisten Säuren oder alkalischen Lösungen indifferent; wird von kochender konzentrierter Schwefelsäure zerstört, widersteht aber dem Kochen mit verdünnter Schwefelsäure; es erweicht so gut wie garnicht beim Erhitzen; widersteht Temperaturen von 300 °C.; bei höheren Temperaturen fängt es an sich zu zersetzen und verkohlt, ohne zu schmelzen. Es ist ein schlechter Leiter der Wärme und der Elektrizität.

Die Herstellung dieser Kondensationsprodukte A und B und ihre spätere Umwandlung in C für technische Zwecke bilden den sogen. Bakelit-Prozeß. Ich nehme ungefähr gleiche Qualitäten Phenol und käuflichen Formaldehyds, gebe eine kleine Menge eines alkalischen Kondensationsmittels hinzu und erwärme, wenn nötig. Das Gemisch trennt sich in zwei Schichten, eine obere wässerige Lösung und eine untere Flüssigkeit, welche das Anfangskondensationsprodukt ist. So erhalte ich je nach Verlangen entweder eine dünne Flüssigkeit, Dünnes A (Thin A) genannt, oder eine mehr dickflüssige Masse. Dickflüssiges A (Viscous A), oder ein Klebriges A (Pasty A) oder sogar, wenn die Reaktion weit genug geführt wird, ein Festes A (Solid A). Wenn ich von einem dieser Produkte A etwas in ein Gefäß gieße und ohne alle Vorsichtsmaßregeln über 100 °C. erhitze, so erhalte ich eine poröse, schwammige Masse von C. Gemäß dem vorher gesagten aber führe ich das Erhitzen unter erhöhtem Drucke aus und beobachte ein ganz anderes Resultat. Diese Erhitzung unter Druck kann auf mehrere Arten geschehen, wird aber gewöhnlich in einem Bakelisator (Bakelizer) genannten Apparate ausgeführt. Ein solcher Apparat besteht hauptsächlich aus einer Kammer, in welche Luft eingepumpt und in der der Druck auf 4-7 at gebracht kann. Diese Kammer kann äußerlich oder innerlich durch einen Dampfmantel oder durch Röhrenschlangen auf eine Temperatur von 160 °C. und höher erhitzt werden. Wenn ich z. B. flüssiges A in ein Reagenzglas gieße und dieses Glas dann im Bakelisator auf 160-180 °C. erhitze, so wird sich die Flüssigkeit schnell in festes C verwandeln, das genau die Form des Behälters annimmt; unter besonderen Umständen kann es die Form einer durchsichtigen harten Stange aufweisen.

Eigenschaften und Anwendungen des Bakelits. „Bakelit ist vollkommen unlöslich, unangreifbar von beinahe allen Chemikalien, ein vorzüglicher Isolator für Wärme und Elektrizität und hat ein spez. Gewicht von 1,25 bis 1,26. Es ist sehr hart, wird vom Fingernagel nicht geritzt und ist in dieser Hinsicht dem Schellack und sogar dem Hartgummi weit überlegen. Eine ausgezeichnete Eigenschaft von Hartgummi und Celluloid hat es aber nicht, nämlich es ist nicht so elastisch und biegsam, und hierin beruht sein größter Mangel. Als Isolator und in seiner Widerstandsfähigkeit gegen Hitze, Reibung, Feuchtigkeit, Dampf oder Chemikalien übertrifft es den Hartgummi, das Casein, Celluloid, den Schellack und überhaupt alle plastischen Massen. Auch im Preise kann Bakelit mit allen diesen Substanzen konkurrieren.

Anstatt das flüssige A in ein Reagenzglas oder in ein Form zu gießen, kann man einen Gegenstand hineintauchen oder es mit einem Pinsel auftragen. Wenn ich ein Stück Holz damit überziehe und dann etwa eine Stunde im Bakalisator behandle, so wird es mit einem harten, glänzenden Überzug von Bakelit versehen. Dieser ist jedem Lack, sogar dem teuersten Japanlack weit überlegen. Ein Stück Holz, welches so behandelt worden ist, kann stundenlang in Wasser gekocht werden, ohne daß sein Glanz im mindesten verringert wird. Ich kann es in Alkohol oder andere Lösungsmittel oder in Lösungen von chemischen Körpern eintauchen, ohne die schöne glänzende Oberfläche zu beschädigen. Aber ich kann noch etwas besseres tun; es ist nämlich möglich, A in einem mehr dünnflüssigen Zustande, welcher eine viel größere Eindringungskraft besitzt, herzustellen, und ich kann billiges, poröses Holz darin einlegen, bis die Fasern so viel Flüssigkeit als möglich absorbiert haben, dann das imprägnierte Holz in den Bakalisator hineinbringen und die Kondensation in und um die Fasern des Holzes stattfinden lassen. Das Resultat ist ein sehr hartes Holz – so hart wie Mahagoni oder Ebenholz – dessen Zug- und besonders dessen Druckfestigkeit bedeutend erhöht worden ist, und welches verdünnten Säuren, Wasser oder Dampf ebenso wie Trockenfäulnis widersteht. Ich könnte viel ausführlicher werden, will aber bei anderer Gelegenheit zeigen, wie man mit billigem weichem Holze Resultate erzielt, welche bis jetzt nicht einmal mit dem teuersten harten Hölzern erreicht worden sind.

Auf demselben Weg ist es mir gelungen, gewöhnliche, billige Pappendeckel oder Papier-Ganzzeug zu imprägnieren und sie in ein hartes, widerstandsfähiges Material zu verwandeln, welches geschnitzt, gedrechselt und in mannigfache Formen gebracht werden kann. Ich möchte nicht eingehen auf die verschiedenen Anwendungen dieser Imprägnationsmethode für Holz, Papier, Ganzzeug, Asbest und andere faserige und zellige Materialien, wie Bakelit ferner zum Befestigen der Borsten von Rasier-, Malpinseln und Zahnbürsten, zum Überziehen von metallischen Oberflächen angewendet werden kann, wie es vielleicht sogar das Blech in der Konservenindustrie ersetzen wird. Was das Bakelit als solches betrifft, so ist es dem Bernstein für Pfeifenmundstücke und ähnliche Gegenstände weit überlegen. Es ist nicht so biegsam wie Celluloid, aber dauerhafter, es hat keinen Geruch, es widersteht der Hitze, es brennt nicht, und dabei ist es bedeutend weniger kostspielig. Es läßt sich zu vorzüglichen Billardbällen verarbeiten, deren Elastizität derjenigen der elfenbeinernen sehr nahe steht, kurz, es kann zu den meisten Zwecken, für welche die plastischen Massen gewöhnlich dienen, wie zu Griffen, Knöpfen, Messerheften usw., gebraucht werden. Aber die Anwendung des Bakelits für solche Luxus-Gegenstände hat mich wenig interessiert, so lange es so viele wichtigere technische Anwendungen gibt. Bakelit kann nämlich auch als vorzügliches Bindemittel für alle Füllstoffe, wie Sägespäne, Holzganzzeug, Asbest, Farben, oder überhaupt irgend einen Stoff, dessen Anwendung für gewisse Zwecke erwünscht ist, verwandt werden. Ich kann dies nicht besser veranschaulichen, als daß ich auf einen Schleifstein hinweise, der mit Bakelit als Bindemittel hergestellt ist, und weiter auf ein selbstschmierendes Lager, welches trocken neun Stunden ununterbrochen bei 1800 Umdrehungen pro Minute gebraucht worden ist, ohne sich zu erhitzen und ohne die schnell umlaufende Triebwelle zu beschädigen.

Wenn ich Bakelit mit feinem Sande oder Schieferstaub vermische, so kann aus dem Gemisch ein Teig gemacht werden, welcher auf das Innere von Metallröhren oder Behältern oder Pumpen ausgetragen werden kann und nach dem Bakelisieren eine säurefeste innere Schicht ergibt, die beim Bau chemischer Apparate benutzt werden kann. Ventilsitze, welche von Dampf und Chemikalien widerstehen, sind auf ähnliche Weise hergestellt worden. Auch Phonographenwalzen sind daraus gemacht worden, und die Tatsache, daß Bakelit härter als Gummi, Schellack und andere ähnliche Substanzen ist, läßt es vorteilhaft in dieser Richtung erscheinen. Für die elektrische Industrie hat Bakelit schon angefangen, sich nützlich zu erweisen. Auch dort ist seine Anwendungsmöglichkeit eine größere. Armaturen oder Spulen in Dynamos und Motoren werden, anstatt mit Lacken angestrichen zu werden, einfach mit A imprägniert, dann in den Bakelisator geschoben und in ihm zu festen, unschmelzbaren Solationsmassen verwandelt. Wahrscheinlich wird es dadurch möglich werden, die Belastung der Motoren und Dynamos zu vergrößern, und zwar durch Ausschaltung der Möglichkeit des Schmelzens der Isolierlacke, wie die bis jetzt gebraucht worden sind.

 

Formgebung des Bakelits. Für alle plastischen Substanzen, wie Gummi, Celluloid, Harze usw., ist das Problem der Formgebung das wesentliche. Einige Substanzen, welche sonst sehr wertvoll sein könnten, sind wertlos, weil sie nicht auf billige Weise geformt werden können. Der große Erfolg des Celluloids war hauptsächlich davon abhängig, daß es leicht geformt werden konnte. Reine Nitrocellulose ist dem Celluloid an chemischen Eigenschaften weit überlegen, konnte bis zur Entdeckung Hyatts aber nur durch den Abdampfprozeß in eine Form gebracht werden. Die Hinzufügung von Campher und einer kleinen Menge von Lösungsmitteln zum Cellulosenitrat war ein Meisterstück, weil sie schnelles und sparsames Formen erlaubte. Desgleichen wäre weißer Sand oder Quarz eine ideale Substanz für viele Zwecke, wenn er ohne Schwierigkeit zu einer homogenen Masse komprimiert oder geformt werden könnte. Nur weil dies nicht geht, bleibt er wertlos.“[415] Bakelit im C-Zustand ist nicht formungsfähig, es schweißt nicht unter Druck zusammen, nicht einmal, wenn es erhitzt wird; nur mit viel Mühe ist es möglich, irgend einen Gegenstand daraus zu bilden, aber die einzelnen Partikel hängen nicht zusammen, - mit anderen Worten – es ist keine wahre plastische Substanz.“[416]  „Deshalb muß die Formungsarbeit in einem früheren Teile des Prozesses geleistet werden. Wir haben gesehen, wie Smith, Luft und Story eine ähnliche Aufgabe durch Beimischung von Lösungsmitteln und darauffolgende Abdampfung zu lösen suchten, aber wir wissen jetzt, daß gerade diese Lösungsmittel ernsthafte Nachteile ergeben.

„Ich habe gezeigt, wie es gelingt, das flüssige A durch Eingießen in eine Form und Erhitzen im Bakelisator schnell zu formen und zu härten. Aber diese schnelle Methode ist noch zu langsam für die meisten Zwecke. Formen kostet außerdem Geld; jeder Gummi- oder Celluloidfabrikant kann bestätigen, daß der Posten „Formen“ einen großen Teil der Kosten seiner Anlage ausmacht. Wenn ein Auftrag von 10000 Stück ausgeführt werden muß und das Formen eine Stunde dauert, so würde es 3-4 Jahre in Anspruch nehmen, um die Bestellung zu erledigen, wenn der Fabrikant nur eine Form besäße. Wenn die Form

100 Doll. kostet, so würde man für 5000 Doll. Formen brauchen, um die Bestellung innerhalb von 20 Tagen zu erledigen.

„Aus diesem Grunde habe ich meinen Formungsprozeß so eingerichtet, daß ich die Formen nur während eines Minimums von Zeit anzuwenden brauche. Einer der einfachsten Wege dazu ist der folgende: Wie schon früher bemerkt, erlaubt mir der Gebrauch von Basen, eine Abart von A herzustellen, welche fest, jedoch noch schmelzbar ist. Diese letztere ist so spröde, wie gewöhnliches Kolophonium, kann gepulvert und mit Füllmitteln vermischt werden. Ein Gemisch dieser Sorte wird in die Form hineingegeben und das Ganze wird in die hydraulische Presse eingeführt. Die Form wird erhitzt, am besten auf eine Temperatur von ungefähr 160-200 °C. Das A schmilzt und vermischt sich mit dem Füllmittel, es gänzlich Imprägnierend, und wird zur gleichen Zeit schnell in B verwandelt. B schmilzt nicht mehr, so daß der geformte Gegenstand nach einer kurzen Zeit aus der Form herausgenommen und diese wieder gefüllt werden kann. Alle die geformten Gegenstände sind jetzt im B-Zustande, verhältnismäßig spröde und unschmelzbar. Am Ende der Tagesarbeit oder zu irgend einer anderen angemessenen Zeit werden alle die geformten Gegenstände, und zwar ohne Form, in den Bakelisator hineingetan und in ihm endlich in den Kondensationszustand C, das Bakelit vom höchsten Grad der Härte, Stärke und Widerstandsfähigkeit, verwandelt. Der Prozeß kann noch weiter vereinfacht werden. Anstatt A zu gebrauchen, können wir B nehmen und es in der heißen Presse formen, wo es zusammengeschweißt wird und die gewünschte Gestalt annimmt. Nach sehr kurzer Zeit fängt das B an, sich in C zu verwandeln, und kann jetzt aus der Form ausgestoßen werden. Wenn die Umwandlung nicht vollständig ist, so wird eine kurze Nachbehandlung im Bakelisator alles vollenden. Es ist mir gelungen, für kleine Gegenstände die Formung auf weniger als 2 Minuten zu reduzieren. Die wertvollen Eigenschaften der Masse B können auf machem anderen Wege benutzt werden; z. B. wird A in ein großes Gefäß gegossen und langsam auf 70 °C. erhitzt, bis es als gummiähnliche Masse gerinnt und dadurch zeigt, daß es B geworden ist. Dieser Block von B hat ungefähr die Konsistenz von Buchdruckwalzen aus Glycerinleim, wird aber spröde nach dem Erkalten. Die warme biegsame Masse kann nun aus dem Gefäß herausgenommen und in die so gestalteten Gegenstände können einfach in den Bakelisator gegeben werden; Schmelzen oder Verziehung kann nicht stattfinden, obwohl keine Form gebraucht wird, um die Körper zu dem C-Zustande zu bringen. Diese Beispiele könnten durch zahlreiche andere vermehrt werden, ich glaube aber, das Gesagte wird genügen, um die vielfache Verwendungsfähigkeit des Bakelits zu erweisen. Wir studieren jetzt die Anwendung von Bakelit in mehr als 40 verschiedenen Industrien; über die hierbei gewonnenen Erfahrungen werde ich später berichten.“[417]

 

4.4.4) Chemiker Zeitung IV.

 

Zur Konstitutionsermittlung des Bakelits. Die chemische Konstitution von Bakelit und die Natur der Reaktion, welche bei dem Bakelitprozeß stattfinden, sind Probleme, welche ich zu lösen versucht habe. Dieses Thema ist keineswegs ein leichtes. Wir haben es mit einem Produkt zu tun, welches nicht durch Krystallisation oder andere gebräuchliche Methoden gereinigt werden  kann, einem Produkte, welches unlöslich ist, weder schmilzt noch sich verflüchtigt, einem Produkte, welches unseren gebräuchlichen Molekulargewichtsbestimmungsmethoden unzugänglich ist. Seine chemische Trägheit macht es zu Studium etwaiger chemischer Umwandlungen ungeeignet, und wenn es auf physikalisch-chemischen Wege nicht irgendwelche optische Eigenschaften oder andere physikalische Konstanten festgestellt werden, so sind wir sehr in Verlegenheit, über die Molekulargröße von Bakelit etwas auszusagen. Aber ich bin so glücklich gewesen, auf Umwegen Einsicht in seine chemische Konstitution zu erlangen, denn es ist mir geglückt, Bakelit durch eine indirekte Synthese herzustellen.

Wie im ersten Teil dieser Abhandlung bemerkt ist, gibt Oxybenzylalkohol, bei Erhitzen auf 150 °C., oder in Gegenwart von Säuren, verschiedene Partialanhydride, Saliretine genannt, welche verharzen können, wenn sie höheren Temperaturen ausgesetzt werden. Saliretin-Körper sind mehr oder weniger in Alkohol, Aceton und in NaOH löslich, woraus sie wieder mit NaCl niedergeschlagen werden können. Wir haben gesehen, daß De Laire durch Erhitzen von Phenolalkoholen im Vakuum lösliche Harze erhielt. Ich habe nun Saligenin, in zugeschmolzenen Röhren unter Druck, bei 180 °C. mit oder ohne Zugabe von kleinen Quantitäten Ammoniak, 8 Stunden lang erhitzt. In beide Fällen erhielt ich eine Substanz, welche in der Kälte hart ist, beim Erwärmen aber erweicht, jedoch nicht schmilzt. Sie schwillt in Aceton und in NaOH auf und wird teilweise gelöst. Diese Substanz ist aber nicht mein „Zwischenkondensationsprodukt B“, denn kein längeres Erhitzen kann es in C umwandeln.

„Wenn ich jedoch Oxybenzylalkohol in Gegenwart von genügend CH2O oder seiner Polymere in einem zugeschmolzenen Rohre 8 Stunden lang auf 180 °C. erhitze, so erhalte ich eine Substanz, deren Eigenschaften und chemische Zusammensetzung denen des Bakelits ganz ähnlich sind. Durch vielfache Abänderung der Verhältnisse und Wiederholung der Experimente ist es mir gelungen, darzulegen, daß, wenn ich nicht mindestens 1 Mol CH2O  auf je 6 Mol Oxybenzylalkohol nehme, nicht Bakelit entsteht, sondern ein Produkt, welches Saliretin-Verbindungen enthält. Dasselbe Resultat wird erhalten, wenn 6 Mol Phenol und 7 Mol CH2O in Gegenwart einer kleinen Menge einer Base erhitzt werden. Wenn ich etwas weniger Formaldehyd benutze, oder wenn nicht sämtlicher Formaldehyd an der Reaktion teilnimmt, so erhalte ich eine Substanz, welche noch von Aceton engegriffen werden kann, wahrscheinlich, weil sie unverbundenes Phenol oder Saliretinverbindungen noch nach Beendigung  der Reaktion enthält. Ich habe aber gefunden, daß alle diese Substanzen, ob sie durch Erhitzen von 6 Mol Phenolalkohol mit mindestens 1 Mol CH2O, oder ob sie durch die Einwirkung von Phenol auf Formaldehyd unter Hitze und Druck in Gegenwart kleiner Mengen Basen erhalten werden, auf folgende Weise gereinigt und auf ungefähr konstante Zusammensetzungen gebracht werden können: Die Substanz wird gepulvert, mit 5% KOH-Lösung, mit verdünnter HCl, mit Alkohol, mit Aceton gewaschen und schließlich im Vakuum zu konstantem Gewichte getrocknet.

Das so gewonnene Pulver enthält noch Spuren von Kalium, welche ich nicht gänzlich auszuscheiden vermochte. Seine Menge ist sehr gering, etwa 0.09% der Asche, aber es scheint sehr hartnäckig in dem Produkt festgehalten zu werden und macht es etwas hygroskopisch, was das Wägen für analytische Zwecke erschwert, und einige der Schwankungen in den Resultaten erklärt. Die Verbrennung aller dieser Produkte ergab folgende Zahlen:

 

1 Mol. CH2O               C = 77,48         77,88                1 Mol. Phenol, C = 77,48         76,61

6 Mol. Saligenin           H = 5.69          5,97                  1 Mol. CH2O +            H = 5,60          5,80

                                     O = 16,56        16,15                1%NH3                                O = 16,92        17,59

 

1 Mol. CH2O               C = 76,47         76,35                10ccm Phenol              C = 77,92      75,621

4 Mol. Saligenin           H = 5,44          5,40                  10 ccm 40%ig.             H = 5,71          5,78

                                     O = 18,09        18,25                CH2O + 1/2 %NH3       O = 16,73        18,60

13 Mol. CH2O C = 76,59         76,57  

12 Mol. Saligenin         H =5,97           5,97                  Beginnende Oxidation während des

                                     O = 17,44        17,46                  Trocknens                              

 

 

Wenn wir die großen Schwierigkeiten bei der Reinigung berücksichtigen, so scheinen diese Resultate auf eine chemische Substanz von konstanter Zusammensetzung hinzuweisen, welche, je nach ihrer Herstellungsmethode, mit in verschiedenen Verhältnissen beigemischten Verunreinigungen behaftete ist. Der größte Teil dieser Verunreinigungen besteht wahrscheinlich aus freiem Phenol, oder freiem Formaldehyd oder Saliretin-Produkten. Durch die indirekte Synthese von Bakelit aus Oxybenzylalkohol und CH2O komme ich zu der Annahme, daß Bakelit in seiner einfachsten Form ein polymerisiertes Oxybenzylmethylenglykolanhydrid ist, welches in dem Falle der Verwendung gewöhnlichen Phenols durch folgende Formel dargestellt wird: n(C43H38O7). Die Reaktion wird durch folgende Gleichung erläutert:“[418]

                                    

n[6C7H8O2+CH2(OH)2] = : n(C43H38O7)+n(7H2O)

 

Diese Formel stimmt in annehmbarer Weise mit den analytischen Daten überein, wenn wir die Schwierigkeiten der Reinigung berücksichtigen:

 

                                                                          C                      H                      O

Berechnet        Mit 6 Mol Saligenin                 77,44%            5,75%  1          6,81%

                         und 1 Mol CH2O        

Gefunden                                                         77,68%            5,96%              16,35%

 

„Ich betrachte Bakelit C als ein direktes Polymeres eines anderen Anhydrides, welches durch mein Kondensationsszwischenprodukt oder Bakelit B dargestellt wird. Bakelit B ist vollständiger anhydrisiert als Bakelit A. Was Bakelit A betrifft, so ist es unmöglich, es zu einer konstanten Zusammensetzung zu bringen,  weil es leicht Wasser abspaltet, sich allmählich in seiner Zusammensetzung verändert, beim Erhitzen sich langsam in B verwandelt, nachdem es verschiedene Genmische von A und B durchlaufen hat. Meine Annahme wird sehr wahrscheinlich durch folgendes Experiment: Wenn ich ein Gemisch von Phenol und Formaldehyd in den richtigen Verhältnissen mit einer kleinen Menge einer Base in einem zugeschmolzenen Glasrohr gerade lange genug erhitze, um A zu bilden, so trennt sich die vorher homogene Flüssigkeit in zwei Schichten. Das Anfangskondensationsprodukt A bildet die untere Schicht, die obere Schicht ist Wasser. Dasselbe Resultat wird erhalten, wenn wasserfreies Phenol mit Paraform in Gegenwart einer kleinen Menge von Basen erhitzt wird.

Wenn dieses A gänzlich von physikalisch zurückgehaltenem Wasser befreit und in einem zweiten zugeschmolzenen Glasrohr weiter erhitzt wird, so ist es bei einiger Vorsicht möglich, zur richtigen Zeit die Reaktion zu unterbrechen, so daß alles in B, das Zwischenkondensationsprodukt, verwandelt ist. Nun sieht man, daß eine weitere Menge Wasser in Freiheit gesetzt worden ist, welches sich oben ansammelt, und den Beweis liefert, daß eine weitere Anhydrisierung stattfand. Zur selben Zeit bemerken wir, daß die Masse B sich nicht bedeutend kontrahiert hat. Wenn jetzt dieses B, zuerst gänzlich von Wasser befreit, in einem dritten zugeschmolzenen Rohr erhitzt wird, so verwandelt es sich endlich in C. Aber dieses Mal sehen sehen wir keine weitere Ausscheidung von Wasser, wohl aber eine bedeutende Volumenverminderung. Diese Zusammenziehung, zusammen mit der merkwürdigen Vergrößerungen an physikalischer und chemischer Inaktivität, weisen auf die Möglichkeit hin, daß C einfach das Polymere von B ist.“ Ich werde in dieser Annahme bestärkt durch die Tatsache, daß die Analyse mir gezeigt hat, daß B und C dieselben Prozente Kohlenstoff, Wasserstoff und Sauerstoff enthalten. Wenn wir diese Voraussetzungen annehmen, so ist die Theorie des Bakelitprozeßes leicht zu erklären.

Stufe A.  Bildung eines teilweisen Anhydrides eines Phenolalkohols und Methylenglykole, das noch Hydroxylgruppen enthält, welche NaOH binden können.

 

Stufe B. Bildung eines höheren Anhydrides durch die Ausscheidung von Wasser. Dieses höhere Anhydrid scheint keine Hydroxylgruppen mehr zu enthalten, kann aber noch beim Hinzufügen von NaOH alkalische Verbindungen bilden. Dieses führt mich zur Annahme, daß es mir auf irgend einem Wege möglich sein wird, alkalische Verbindungen zu erhalten, welche nach Behandlung mit verdünnten Säuren uns wieder A geben werden. Bis wir genaueres wissen, schlage ich folgende Formel vor :

 

  |-------------------O--------------------CH2--------------------O-------------------- 

[CH2-C6H4-O-CH2-C6H4-O-CH2-C6H4-O-CH2-C6H4-O-CH2-C6H4-O-CH2-C6H4]n

 

Stufe C. Polymerisation des B-Produktes, wodurch größere chemische Inaktivität und Verschwinden der aktiven Endglieder des Moleküls bedingt werden.

Mit Homologen des Phenols erhalten wir die direkten Homologen dieser Ahydride, z. B. 

m-Kresol gewinnen wir das Polymere von m-Methyloxybenzylmethylenglykolanhydrid. Es wird vielleicht interessieren, daran zu erinnern, daß Oskar Löw vor vielen Jahren unsere Aufmerksamkeit auf die Wichtigkeit des Formaldehyds als Anfang der Synthese im Pflanzenleben lenkte. Durch die Photochemische Wirkung von Sonnenlicht auf COin Gegenwart von Wasser im Chlorophyll wird Sauerstoff frei gemacht und CH2O gebildet. Dies ist der Anfang eines Prozesses weitergehender Synthese, wodurch kompliziertere Körper aufgebaut werden. Ich will darauf Aufmerksam machen, daß der Weidenbaum in seinen Zellen Salicin, das Glucosid des Saligenins erzeugt; dasselbe Saligenin hat in Gegenwart von mehr CH2O zu Bakelit geführt. Andererseits haben Bertrand, Tschirch, und Steven und kürzlich R. Majima und S. Cho unsere Aufmerksamkeit auf die phenolartige Natur natürlicher harziger Substanzen, besonders des japanischen Lacks, gelenkt. Letztere Substanz besitzt einige Analogie mit Bakelit, und stammt von der .Rhus vernicifera Dc., einer Pflanze welche mit unserem  amerikanischen Gift Sumach (Rhus toxicodendron) etwas verwandt ist. Demnach haben die Synthesen in meinem Laboratorium eine merkliche Ähnlichkeit mit einigen der verwickelten, biologischen Prozesse, welche in den Zellen gewisser Pflanzen stattfinden.

 

Ich habe nur die Umrisse jahrelanger, aber sehr fesselnder Arbeiten geben können, wobei ich aufs beste von Nathaniel Thurlow, und seit kurzer Zeit auch von Dr. A. H. Gotthelf, welcher die Analysen ausgeführt hat, unterstützt worden bin. Das eröffnete Feld ist so groß, daß ich mit Vergnügen weitere Arbeiten in derselben Richtung auf Jahre hinaus entgegensehe. Ich habe es vorgezogen, kein Geheimnis aus meiner Arbeit zu machen, und verlasse mich ausschließlich auf den Schutz meiner Patente. Es wird mir Freude bereiten, so gehandelt zu haben, wenn ich ein weiteres Interesse an diesem Gegenstand unter meinen Fachgenossen erweckt habe, und wenn es sie dazu führt, meine Methoden zu verbessern oder die Zahl der nützlichen Anwendungen dieser interessanten Verbindung zu vergrößern.“[419]

 

4.4.5) Zusammenfassung des Artikels

 

Baekeland hatte sich nicht nur mit den potentiellen technischen Anwendungsmöglichkeiten sondern auch mit der Chemie der Phenolharzbildung befasst.  

Im Artikel II beschrieb er den Unterschied zwischen dauernd löslichen sowie schmelzbaren Harzen („Novolak“) und solchen, die durch Hitze unlöslich und unschmelzbar werden („Bakelite“). Außerdem legte er dar, unter welchen Bedingungen Novolak, Resol und Resit aus Phenol und Formaldehyd entstehen. In Artikel III. beschrieb Baekeland, dass durch Verwertung der in mehreren Stufen (A-, B-, C-Harze) vorgenommenen Harzbildung vielseitige Anwendungsmöglich für eben diese Phenolharze bestehen und damit der Beweis, für ihren außerordentlichen technischen Wert, erbracht wurde.

Wie sich weiter zeigt, verwarf nun Baekeland die Idee, das Produkt des Kleeberg-Prozesses mit einem Lösemittel zu modifizieren. Anstelle dessen hatte er die Idee die Gasentwicklung durch Erhöhung der Temperatur zu beschleunigen. Bei den bisherigen Forschungen wurde genau das Gegenteil versucht, um die unkontrollierbare Gasentwicklung zu vermeiden. 

Baekeland aber erhitze das Phenol-Gemisch auf 160 bis 180 °C und kontrollierte die Gasbildung indem er den Druck erhöhte. Hierzu verwendete er einen speziellen Destillierapparat, den er Baekelizer nannte, mit dem er Hitze und den Druck präzise variieren konnte und somit auch die Reaktion.

Resultierend aus seinen Versuchen gelang Baekeland am 20. Juni 1907 mit seinem „Old Faithful“ genannten Druckreaktor aus Steinkohleteer-Phenol und Formaldehyd 180 Liter einer bernsteinfarbenen viskosen Phenolharzmasse zu erzeugen[420] Wie Abschnitt IV  zeigt war er sich der chemischen Konstitution des Bakelites nicht im Klaren, jedoch konnte er die verschiedenen Reaktionen günstigsten Molverhältnisse von Phenol bzw. Phenolalkohol und Formaldehyd feststellen.

 

5)  Bekanntmachung, Patentierung und Vermarktung von Bakelite

 

Entsprechend der Kapitelüberschrift wird in diesem Abschnitt eine Entwicklung dargelegt, die den Prozess von der ersten Präsentation des Bakelites durch Baekeland bis hin zur industriellen Produktion beschreibt. Baekelands Präsentation im „Chemist’s Club“ brachte zwar Aufmerksamkeit und Interesse mit sich, jedoch fand sich kein Partner, der Bakelite produzieren und vermarkten wollte. Der von Baekeland kalkulierte Plan einen Partner durch seine Veröffentlichung in der „Chemiker Zeitung“ zu gewinnen, ging aber auf. Bei den Rütgers-Werken erkannte man aufgrund der langen Erfahrung mit Steinkohlenteer das Potential von Bakelite, und wurde so zum weltweit ersten Kunststoff-Produzenten. Nach der Kooperation mit den Rütgers-Werken gründete Baekeland im selben Jahr in den USA die General Bakelite Co., wohl auch basierend auf dem regen Austausch mit Rütgers. Außerdem musste sich Baekeland nachfolgend mit zahlreichen Patentstreitigkeiten auseinandersetzten, die im engen Zusammenhang der weiteren Entwicklung der General Bakelite Co. einhergingen und die letztendlich zur erfolgreichen Vermarktung des Bakelites beitrugen.

 

                                                   Abb. 9

 

 

 

5.1)  Bekanntmachung von Bakelite

 

Noch bevor Baekeland seinen Artikel in der Chemiker-Zeitung veröffentlichte, stellte er am

5. Februar 1909 das Bakelite im Chemist’s Club in New York unter dem Titel “The Synthesis, Constitution, and Uses of Bakelite“ erstmals der Öffentlichkeit vor.[421]Seine Tagebucheinträge verdeutlichen, wie wichtig ihm die Vorstellung war. Am Tag zuvor schrieb er: „I hope I am not making a mistake by thus sending my work boldly into publicity. I trust on the strength of my patents“.

Zu jener Zeit Baekeland war bereits ein wohlbekannter und respektierter Chemiker und Wirtschaftsingenieur. Folglich kam eine große Zuhörerschaft in den Chemist’s Club, um an diesem Freitagabend seinem Vortrag zu folgen. Die New York Sun berichtete dazu folgendes: „Baekeland beansprucht viel für seine neue Erfindung. Nicht nur, dass er ein Stück Holz nahm, in das flüssige Harz tauchte, für etwa eine Stunde in den Baekelizer steckte und mit einer harten, und glänzenden Schicht aus Baekelite versah, die besser als der beste und teuerste japanische Lack war, sondern indem er ein Stück billiges, poröses Holz in ein Bakelitebad steckte und es dann in seinem Bakelizer härtete, konnte er auch auf magische Weise weiches Holz in Hartholz verwandeln.“[422]

Baekeland sagte Folgendes über seinen Vortrag: „I did not read my paper which covers

7000 words but spoke outright. Experiments went excellent and numerous attendance seemed to take much interest in everything and at the end I received an applause which I would call an ovation and for I felt very thankful“.[423] Durch den Erfolg dieses Vortrages sah sich Baekeland, in seinen jahrelangen Forschungen bestätigt und wohl auch motoviert, diese fortzuführen. 

Der Fachvortrag wurde drei Monate später, also nach dem Erscheinen des Beitrags in der „Chemiker Zeitung“, im „Journal of Industrial and Engineering Chemistry“ veröffentlicht.   

 

5.2) Baekelands Kooperation und die Geschichte der Rütgers-Werke

 

Der vorgelegte Artikel der „Chemiker-Zeitung“ wurde auch vom Chefchemiker der Rütgers-Steinkohlenteerraffinerie Dr. Max Johannes Weger gelesen, wodurch dieser auf die neuen Möglichkeiten zur Verwertung der überschüssigen Teerphenole aufmerksam wurde.[424] Anlässlich eines Besuchs von Baekeland im Juni/Juli 1909 in Berlin erwarb Wegers Vorgesetzter, Rütgers-Nachfolger, Konsul-Sally Segall, die Bakelite-Patentrechte für Kontinental-Europa und beauftragte Wegner mit der Übertragung des Bakelite-Verfahrens im den großtechnischen Maßstab.[425]

In einem barackenähnlichen Gebäude, dem „Probeschuppen“ der Rütgers-Teerraffinerie Erkner, wurden die ersten Baekelizer installiert. Ende 1909  wurden die ersten synthetisierten Bakelite-Chargen wurden an die mit Rütgers kooperierende, im Berliner Umfeld angesiedelte Elektroindustrie verkauft. Eswurden erstmals duroplastische Kunstharze für kommerzielle Zwecke produziert. Mit Bakelite begann nun ein neues Zeitalter. Am 25. Mai 1910 gründeten die Rütgers-Werke unter Beteiligung  Baekelands mit einem Stammkapital von 300.000 Mark die ‚Bakelite Gesellschaft mbH, Berlin-Erkner‘.

In den Jahren 1914 bis 1916 errichteten die Rütgers-Werke am anderen Ufer des Flakenfließ, gegenüber ihrer Phenole liefernden Teerraffinerie, eine eigenständige Bakelite-Fabrik (Werk I) mit stetig wachsender Produktion und anwendungsorientierter Forschung.[426]

 

                                                 Abb. 10


„Die stark wachsende Bakelite-Produktion veranlasste die Rütgers-Werke 1938, in Erkner ein weiteres Werksgelände zu erwerben.“[427] „Die neue Fabrik entstand in der Nähe des Bahnhofs an der Berliner Straße (Werk II).“[428] Die Forschung und Technikumsanlagen verblieben weiterhin am gleichen Standort.[429]

Die Bakelite Erkner war damals der größte Pressmassenhersteller Europas[430]

Die wichtigsten Bakelite-Produkte waren folgende: Isolierstoffe und Gehäuse für elektrotechnische Geräte wie Drahtisolierung, Verteilerkappen, Schalter, Stecker, Zündspulen, Telefone, Funkgeräte, Flugzeuginstrumente, Radios und Staubsauger, ferner Gehäuse von Fotoapparaten, Filmkameras, Thermoskannen, Haarföne, Schreibmaschinen, Plattenspieler und Aschenbecher.[431]

Im Jahr 1944 erreichte die Weltproduktion an Phenolharzen 175.000 t, wozu die deutsche Bakelite Gesellschaft in Erkner mit 13.000 t rund 8% beisteuerte.[432] Kriegswichtig waren vor allem duroplastische Phenolharz- und Harnstoffharz-Pressmassen.

 

5.2.1) Zusammenbruch und Neubeginn in Erkner

 

Nach einen alliierten Bombenangriff am 8. März 1944 wurden das Bakelite-Werk wie auch die Rütgers-Teerraffinerie Erkner schwer beschädigt.  Die Herstellung verlagerte sich daraufhin nach München-Pasing und dem sächsischen Dohna, wo es gelang, in die Phenolharz-Produktion auf fast die alte Höhe zu bringen.

Nach Kriegsende wurde auf Beschluss des Alliierten Kontrollrats die verbliebenen Anlagen in Erkner von den Russen teilweise demontiert. Das  alte Gelände wurde am 2. Januar 1946 der Gemeinde Erkner zur Nutzung übergeben. Die Rütgers-Werke wurden entschädigungslos enteignet.

Im März 1946 wurde in der sowjetisch besetzten Zone ein Neubeginn des Unternehmens beschlossen, unter dem Namen „Kunstharz- und Pressmassenfabrik Erkner“.

 

Am 23. August wurde das Werk als „VEB Plasta, Kunstharz- und Pressmassenfabrik Erkner“ neu gegründet und später in das Kombinat „Plaste und Elaste“ eingegliedert. Die nach Dohna verlagerten Maschinen und Apparate wurden an ihrem ursprünglichen Standort zurückgebracht und die Produktion in Werk I langsam in Gang gesetzt und gesteigert.

Der Wiederinstandsetzung  des Werks II dauerte bis 1953  und führte im Jahre 1956 zu Stilllegung des Werk I.

 

5.2.2) Die Zeit der „Plaste und Elaste“

 

Eine wichtige Persönlichkeit bezüglich der Bakelite-Produktion in der DDR war Holmar Nigrini. Nach Kriegsdienst, Gefangenschaft und zwischenzeitlichen Chemiestudium an der TU Dresden wurde Nigrini von den Russen 1947 ins thüringische Apolda beordert, wo er auftragsgemäß eine kleine Fabrik zur Produktion von Baekelands duroplastischen Phenolharzen aufbaute. 1953 jedoch brannte die Fabrik ab und wurde nicht wieder aufgebaut. Nigrini erhielt nun eine Berufung zur Plasta Erkner, wo der Wiederaufbau des Werks II langsam abgeschlossen und die Produktion aufgenommen wurde. Dort wurde Nigrini Betriebsleiter und blieb dies für die nächsten zwölf Jahre. Nachfolgend übernahm er dann die Leitung der zugehörigen Anwendungstechnik, die zuständig für Forschung und Entwicklung war. Die sächsischen Automobilwerke Zwickau (August Horch, ab 1910 Audi-Werke AG) bezogen schon vor dem Krieg Phenolharze und Pressmassen aus Erkner. Das DDR-Regime forcierte die Entwicklung eines „Volkswagens“, in dessen Entwicklung auch die Plasta Erkner und somit Nigrini einbezogen wurden. Das Ergebnis war mit dem Trabant, dass erste Auto mit einer Duroplast-Kunststoffkarosserie.

 

                                    Abb. 11


Plasta Erkner produzierte für den Trabant in einer weltweit einmaligen kontinuierlichen Kondensationsanlage 5.000 t/a festes Phenolresol bis kurz nach der „Wende“. Die Plasta-Forschung entwickelte hierzu zusätzlich zum alten mit Ammoniak-Kondensierten Bakelite-Resol-Harz zwei weitere neue Resoltypen: einen durch Kondensation in Gegenwart von Anilin und Magnesiumoxid und einen weiteren mit Anilin allein. Die drei Resoltypen, zur Produktion der Trabant-Karosserie, mussten in einem Mischverhältnis aufeinander abgestimmt werden. Später, Anfang der 1980er Jahre, wurde die Karosserie nur noch aus einem Harz, dem mit Anilinmodifizierten Resol hergestellt.

Neben der Entwicklung des Trabants war Nigrini für weitere Anwendungstechniken, wie für Resolleime sowie Span-, Faser und Verbundplatten, verantwortlich. Im Werk Erkner ging man dazu über, die erzeugten Phenol-Novolake selbst zu Pressmassen weiterzuverarbeiten.

Die DDR versuchte gezielt, Technologie aus dem Westen zu imitieren, wodurch in Erkner 1963 erstmals duroplastische Polyesterharz-Formmassen eingesetzt wurden. Für weitere Forschungen wurde fortführend 1977 in Erkner das „Forschungszentrum Duroplaste“ gegründet, gefolgt 1982 von einer Pilotanlage zur Harzproduktion für Musterfertigungen, wobei jeweils Bakelite-Muster aus dem Westen als Vorbild dienten und entsprechend kopiert wurden. Insgesamt wurden 1986 in der DDR knapp 33.000 t Phenolharze für zahlreiche Anwendungen produziert.

Nach der Wende kam es wider Erwarten nicht zu einer Eingliederung der Plasta, und damit der Teerfabrik Erkner, in die Rütgers-Werke. Folglich kam es zur Schließung des Erkner Standortes.

Die Plasta wurde 1992 von der Treuhand privatisiert, was zu wechselnden Besitzern führte. Zuerst war es die deutsche Funk-Chemie, dann im Jahre 2000 der schwedische Chemiekonzern Perstorp und ab 2002 die finnische Dynea. Im Jahr 2013 gründete die Dynea eine spezielle Phenol-Harz Tochter­ Gesellschaft, die "Prefere Resins Company" (PRC) mit Standorten in Großbritannien, Frankreich, Deutschland, Polen, Rumänien und Finnland, deren Hauptsitz sich in Erkner befindet.[433]

 

5.2.3) Wiederaufstieg der Bakelite zum Marktführer für

         Duroplast-Kunststoffe

 

Was wurde aus der Bakelite-Gesellschaft von Rütgers im Westen? Eine Reihe Erkneraner Fachleute hatte sich im Herbst 1947 in der von Berlin nach Frankfurt am Main verlegten Rütgers-Hauptverwaltung eingefunden und dachten über einen Neubeginn in Westdeutschland nach.[434] Die Währungsreform ermöglichte die Wiederaufnahme der wirtschaftlichen Aktivitäten und somit der Bakelite-Produktion. Im Juni 1948 wurde die Bakelite-Produktion in der weitgehend unzerstörten gebliebenen Rütgers-Teerraffinerie München-Pasing wieder angefahren. Anfangs hatte man nur einige Phenolharz-„Kocher“

zur Verfügung, die nach dem Bombenangriff auf Erkner 1944 hierhin verlagert worden waren. Bereits 1949 war die provisorische Pasinger Kapazität, die ca. 6.000 Tonnen betrug, erschöpft. Um für neue Kapazitäten expandieren zu können, erwarben die Rütgers-Werke das Gelände einer ehemaligen Sprengstofffabrik im sauerländischen Lethmathe am Ruhr-Zufluß Lenne bei Iserlohn. Bereits 1950 begann mit 80 Mitarbeitern die Produktion von Phenol-Novolaken für duroplastische Preßmassen und Schleifmittelharzen, auf denen andere Duroplast-Produkte stufenweise folgten.

Die Entwicklung der rationellen Spritzgießtechnik führte in BRD zu immer weiterer Verbreitung von Thermoplasten, deren Anteil an der Kunststoffproduktion der BRD stieg von 35 % im Jahre 1950 bis 1953 auf 50 % mit auf 240.000 t versiebenfachter Absolutmenge. Die Bakelite Gesellschaft spezialisierte sich auf hochwertige technische Anwendungen und setzten sich somit erfolgreich von den thermoplastischen Massenkunststoffen Polyvinylchlorid (PVC), Polyethylen (PE) und Polystyrol (PS) ab.

Um weitere Marktanteile zu erhalten, kam es 1957 zur Fusion der Rütgers-Werke mit dem Mitbewerber „Gesellschaft für Teerverwertung“ (GfT), deren Standort sich in Duisburg-Meiderich befand.[435] Im Jahr 1964 wurden die der GfT-Produktionsanlagen für Duroplaste (Phenolharze und Epoxidharze) angliedert. Die Mitarbeiterzahl betrug nun 1.400 und die Kapazität hatte ein Volumen von über 400.000 Tonnen pro Jahr, wobei über 2.000 unterschiedliche Produktarten hergestellt wurden. Bis Ende der 1980er Jahre wurden von der Bakelite AG zahlreiche Firmen in Europa und Asien hinzugekauft oder es kam zu entsprechenden Kooperationen.[436] Der Umsatz betrug 2003 540 Mio. Euro. So war die Bakelite-AG einer der führenden europäischen Hersteller von Phenol- und Epoxidharzen sowie duroplastischen Formmassen. Die Bakelite AG wurde von der Rütgers AG 2004 an die Borden Chemicals mit Firmensitz in den USA verkauft. Nachfolgend fusionierten 2005 mehrere Geschäftsbereiche zur Hexion Specialty Chemicals, welche heute noch die Markenrechte an Bakelit besitzt und die deutschen Produktionsstandorte betreibt. Gegen Ende 2010 fusionierte Hexion mit der Momentive Performance Materials.

 

5.3 Patentstreitigkeiten und die Bakelite Corporation

 

Nach der Kooperation mit den Rütgers-Werken gründete Baekeland im selben Jahr, nämlich 1910, in den USA die General Bakelite Co. Wie bereits eingangs erwähnt, kam es im Zuge der Bekanntmachung von Bakelite zu zahlreichen Patentstreitigkeiten. Außerdem musste sich Baekeland mit einer Flut von unlizenzierten Nachahmern und Plagiatoren auseinandersetzen.

Die ersten konkurrierenden Patente zu Bakelite wurden bereits 1908 von dem deutschen Hans Lebach eingereicht.[437] Die Ähnlichkeiten zwischen Bakelite und Lebachs Resit waren frappierend. Das Resit bestand ebenfalls aus drei Kondensationsprodukten: „Resit A“, „Resit B“ und  „reinem Resit“. Der Handelsname hierfür war Resinit. Lebachs U.S. Patent wurde am 21. Dezember 1908 beantragt, mehr als ein Jahr nach Baekelands Patentierungen. Jedoch wurde Lebachs erstes Patent in Deutschland bereits fünf Monate vor Baekelands U.S. Patent beantragt.

Baekeland zweifelte jedoch die Patentansprüche Lebachs in der „Zeitschrift für angewandte Chemie“ 1909 wie folgt an: „Dr. L. erhebt den Anspruch, daß der Resinit vor dem Bakelit in die Welt gesetzt wurde. Ich stimme von Herzen mit ihm überein, wenn er unter dem Namen Resinit irgend welche bekannten unlöslichen, unschmelzbaren Kondensationsprodukte von Phenolen und Formaldehyd begreift. In der Tat kann er dann viele Jahre zurückgehen und die

Arbeiten von Baeyer, Kleeberg, Luft und Story und anderen anführen, wie ich es in meiner ersten Veröffentlichung getan habe. Aber die ganze Angelegenheit ruht nicht lediglich in der Frage, einen gewissen chemischen Körper darzustellen. Der Gegenstand ist viel verwickelter, denn es handelt sich darum, ein Produkt in solcher Weise zu bilden und zu bearbeiten, daß es praktisch mit Sicherheit für ganz bestimmte technische Zwecke zu verwenden ist. Das Bestehen der Kautschukindustrie schreibt sich nicht seit der Entdeckung der Kautschukpflanze her, sondern seit der Erfindung des Vulkanisierverfahrens. Ich glaube, daß sich mit der Zeit herausstellen wird, daß man, um technische Effekte von wirklicher Bedeutung zu erhalten, meine verschiedenen Bakelitpatente nicht entbehren kann. Die Frage der Priorität dieser Patente schließlich wäre müßig zu behandeln, solange erst ganz wenig meiner zahlreichen Patente veröffentlicht worden sind“.[438]

 

In derselben Ausgabe hält Lebach an der Aufrechterhaltung seines Anspruchs fest, indem er argumentierte, dass sein Säure-Härtungs-Prozess sich vom Hitze-und Druck-Patent unterscheiden würde.[439]

Baekeland jedoch ging als Sieger aus diesen Patentstreitigkeiten mit Lebach hervor,

Am 1. November 1909, einigte sich Baekeland mit Knoll & Co. (wo Lebach angestellt war), darauf mit den Rütgers-Werken eine Kooperation einzugehen, um Bakelite zu vermarkten. Diese Einigung führte dazu, das Lebach bei der gemeinsam gegründeten Bakelite Gesellschaft mbH angestellt wurde.

 

Knapp 3 Monate nach der Präsentation im Chemist’s Club kam es bereits dazu, dass Konkurrenten Patente anmeldeten, die auf Baekelands Forschungen begründet waren.[440]

Zu nennen sind hier vor allem zwei weitere Patentauseinandersetzungen mit den ebenfalls auf Phenol-Harz basierten Konkurrenz-Produkten „Condensite“ und „Redmanol“.[441]

Basierend auf Baekelands Bekanntmachungen forschte ein gewisser Jonas W. Aylsworth, Chemiker des Edisons Labor in New Jersey, ebenfalls an Phenol-Harzen und meldete eigene Patente zwischen den Jahren 1909 und 1915 an.[442] Sein Ziel war es zunächst, ein Material für die Herstellung von Schallplatten zu erfinden.[443] Da Edison kein Interesse an der Vermarktung zeigte, fand Aylsworth mit Kirk Brown einen Investoren, und am 23. September 1910 wurde die „Condensite Company of America“ gegründet, 6 Tage vor der Gründung der „General Bakelite Co.“. Diese informierte Condensite ein halbes Jahr später, dass Patentverletzungen vorliegen würden, und die Produktion umgehend gestoppt werden müsse.

 

Aylsworth begründete jedoch sein Patentanspruch damit, dass sein Condensite einen anderen Herstellungsprozess als Bakelite durchläuft.[444] In mancher Hinsicht wurde Condensite dem Bakelite als überlegen angepriesen und preisgünstiger vermarktet. Baekeland konterte, dass  Konkurrenzprodukt weder in Härte noch im Grad der Schmelzbarkeit mit Bakelite mithalten könnte. Zudem argumentiert er, dass Aylsworths Zwischenprodukt ein gewöhnlicher Novolak war, der in keiner Weise ohne Druck aushärten konnte. Aylsworth behauptete jedoch, dass seine Methode ohne Druck, und somit ohne Bakelizer anwendbar sein sollte, jedoch war dies nicht haltbar. Infolge der Patentstreitigkeiten kam es zu Verhandlungen, die zwischen November 1911 und Juni 1912 stattfanden und die später zugunsten Baekelands entschieden wurden. Im weiteren Verlauf kam es dazu, dass auch die General Bakelite Co. an Aylsworth und somit Condensite Lizenzgebühren für entsprechende Patente zahlte.[445] Durch eine Vereinbarung kam es dazu, dass  für die Hersteller von Phenolharz jegliche Patentverletzungen bezüglich Bakelite und der Aylsworths-Patente gemeinsam geahndet wurden.[446] Auch mit Redmanol, ein weiteres Phenolharz, dass 1912 ebenfalls zu einem günstigeren Preis auf den Markt kam gab es Patentstreitigkeiten.[447] Der junge kanadische Chemiker L. V. Redman entwickelte ein Phenol-Formaldehyd-Lack und beantragte hierfür Patente.[448] Mit dem Chicagoer Möbelhersteller Adolph Karpen gründete er gemeinsam die „Redmanol Chemical Products Company“ und begann mit der Produktion von transparenten Gießharzen für Laminierungen.[449] Später expandierte die Firma soweit, dass sie auch Pressformen herstellte. Zwangsläufig stellte sich  auf Grund des Produktes die Frage, ob hierbei Bakelite-Patente verletzt wurden. Darüber wurde auch in akademischen Kreisen diskutiert. Redman berief sich auf seinen sogenannten Hexamethylentetramin (Urotropin) basierten „one-step dry process“. Baekeland erwiderte Folgendes: „If we add that all the infusible materials made from phenol (hydroxybenzol) and formaldehyde and ammonia, or hexamethylentetramin, dry or wet, have the same specific gravity, the same color, the same appearance, the same resistivity to solvents and chemicals, and that up till now, no property has been mentioned which is not common to all these products, it becomes easy to draw conclusions as to their absolute identity“.[450]

Es kam zu einer gerichtlichen Auseinandersetzung.[451] Baekeland zermürbten die Streitigkeiten und er geriet in eine depressive Phase. Zu der Zeit hasste er Bakelite und sein Unternehmen. Gleichzeitig erlitt die allgemeine Marktwirtschaft einen Konjunkturrückgang und der Absatz von Bakelite sank rapide. Deshalb rutschte 1921 das Unternehmen in eine Existenzkrise, und Baekeland spielte mit dem Gedanken, seine Firma an die Hercules Powder Co., oder an die Union Carbide zu verkaufen. Auch über einen hypothetischen Zusammenschluss mit Condensite unter Kirk Browns Präsidentschaft dachte er nach.

Obwohl eine schnelle Entscheidung im Patentstreit Bakelite/Condensite versprochen wurde, fällte der zuständige Richter erst nach zwei Jahren, im August 1921, ein Urteil zugunsten Baekelands. Nach dem Urteil verhandelten Baekeland und Brown erfolgreich, wodurch das Phenol-Geschäft legal fusioniert wurde und man glaubte, die Konkurrenz ausgeschaltet zu haben. Baekeland versäumte jedoch mit Adolph Karpen zu rechnen, dessen Anteile an Redmanol aufgrund des Gerichtsurteils praktisch wertlos waren. Dieser kaufte nun heimlich so viele Anteile an Condensite bis er die Mehrheit besaß und dies im November 1921 bekanntgab. Baekeland schäumte vor Wut, da er nun gezwungen wurde mit seinem ärgsten Feind zusammenarbeiten. Unwillig erlaubte er Karpen und Redman, seine Patente zu nutzen und schlug vor, alle drei Firmen zusammenzuschließen. Währen der nachfolgenden Verhandlungen lernte Baekeland Karpen näher kennen und schätzen, der ihm als dominate und fähige Persönlichkeit begegnete. Auch Redman entpuppte sich als wirkliche Bereicherung für Baekeland, da beide dieselben Ansichten teilten.

Im Mai 1922 wurde die Gründung der Bakelite Co. als Dachgesellschaft für die drei Firmen bekanntgegeben. Baekeland wurde als Präsident gewählt und  Karpen, Brown und ein gewisser Schleussner fungierten als Vizepräsidenten. Zunächst hatten die drei Firmen unterschiedlichen Vermarktungs- und Werbestrategien. Wohl auch aus Rationalisierungsgründen kam es Im Sommer 1923 zum Zusammenschluss der einzelnen Holdingfirmen zur Bakelite Corporation. Die Vermarktung konnte nun erfolgreich ihren Anfang nehmen. Trotz Weltwirtschaftskrise florierte das Unternehmen während 20er und 30er Jahre.

 

6) Baekelands weiterer Lebenslauf

 

1917 erklärte sich Baekeland bereit, eine Honorarprofessur für Chemieingenieurwesen an der Columbia University anzunehmen.[452] Die Bedeutung von Baekelands Unterricht an dieser Universität sowie seine vitale Inspirationen wurden von seinen Kollegen in folgenden Worten ausgedrückt:

 

For more than a quarter of a century, his wise counsel and brilliant lectures, which were enrichened by a vast scientific knowledge and an almost limitless industrial experience, brought to the university a high quality of inspiring instruction and sound research enthusiasm that had much to do with giving Columbia the high reputation it has in chemical and chemical engineering education and research throughout the world.

 

Baekeland war Mitglied der wichtigsten wissenschaftlichen Gesellschaften. Sowohl in den USA als auch im Ausland wurde er in die National Academy of Scienes gewählt. Wie beschäftig er auch immer war, so fand er jedoch Zeit, wissenschaftliche Treffen sowohl zu besuchen als auch abzuhalten. Des Weiteren war er  Vorstandsmitglied mehrerer Gesellschaften, die sich mit Chemie befassten. Außerdem war er 1909 Präsident der Elektrochemical Society, dann 1912 des American Institute of Chemical Engineers und 1924 der American Chemical  Society sowie 1904 des Chemists`s Club (zu dessen Gründern er gehörte) in New York.

Nur 17 Jahre nachdem Baekelands Ankunft in den USA wurde er 1906, im Rahmen des Jubiläum der Coal-Tar Color Industry, zum Repräsentanten der Amerikanischen Chemiker gewählt.

1909 war er  US-Delegierter des International Congress of Chemistry  und nachfolgen 1912 Präsident des Kunststoffsektors während der Kongress in den USA tagte.

Was seine Kollegen für ihn bedeuteten drückte er bei der Verleihung der Perkin Medal wie folgt aus:

 

My friends, chemists of America, how can I let pass an occasion like this without reminding you of what you did for me?

Twenty-seven years ago I came here as a stranger among you and now I feel so much as one of you that sometimes I wonder that there was ever a time when we did not work and play together.

When I was young and poor and unknown you never hesitated to extend to me the cordial hand of welcome, you never missed an opportunity to show me your friendliness, to help me by advice or othervise. Much of what I have used in my work I learned from you at the meetings of our chemical societies, or on the brotherly surroundings of our Chemist’s Club.

You-your friendship, your generosity, your good-natured modesty, your example, inspired me in my work.

 

Baekeland liebte das einfache Leben. Er stand früh auf und ging auch früh zu Bett. Man könnte ihn als Workaholic bezeichnen. Gewöhnlich begann er mit seiner Arbeit bevor seine Assistenten und Angestellten kamen, bei denen er sehr beliebt war und mit denen er gerne Konversationen pflegte. Wohl aufgrund seiner Leidenschaft zur Fotografie hatte er großes Interesse an Kinofilmen. So nahm er sich häufig Zeit, nachmittags in New York Kinos zu besuchen. Eine weitere Freizeitbeschäftigung war für Baekeland das Autofahren. So war er bereits Ende der 1890er Jahre  mit dem Auto gefahren, als dies mehr ein Sport als ein Zweck war. Er unternahm als einer der ersten lange Autotouren und fuhr schon 1906 mit seiner Frau Celine und den beiden Kindern George und Nina quer durch Europa. Hierzu verfasste Baekeland einen ausführlichen Bericht über seine ausgedehnten Reisen, indem er dort seine Erfahrungen und Erlebnisse schilderte. Dieser Bericht, wurde mit vielen schönen Fotos bebildert, die er während der Fahrt gemacht hatte, und 1907 in Form einer Reihe von Artikeln in dem Automagazin Horseless Age veröffentlicht. Nachfolgend wurden die einzelnen Artikel in einem Buch zusammengefasst und unter dem Titel “A Family Tour Through Europe“ publiziert.

„Im März 1909 brannte der größte Teil der Garage aus, fast hätte das angrenzende Labor auch noch Feuer gefangen.“[453] Schlimmer noch: Das Feuer verzehrte Docs geliebtes Automobil.[454] „Als Baekeland erfuhr, daß die Perth Amboy, New Jersey, (ein führender Formaldehydproduzent) in einem ihrer Gebäude Räume zu vermieten hatten, verlegte er The general Bakelite Company zu Celines großer Erleichterung in dieses sichere Quatier.“[455]

Baekeland hatte ebenfalls ein Faible  für Wassersport und kaufte sich 1899 eine Yacht.[456] Mit dieser fuhr er in Begleitung mit Maximilian Toch, den Hudson River bis nach Kanada und zurück.[457] Der Treibstoff Benzin schwappte in einem riesigen Kessel, der zu lange mit einem Busenbrenner erhitzt wurde bis sich Gase bildeten. Baekeland hatte wohl äußerstes Glück, dass dieser nicht zur Explosion kam. 1915 kaufte er eine 70-Fuß Yacht, die er auf den Namen “Ion“ taufte.[458]Baekeland designte diese nach seinen eigenen Vorstellungen.

So hatte die Segelyacht einen Dieselmotor zur Unterstützung. Außerdem unternahm er manchmal im Spätsommer von Hudson River aus eine Tour nach Florida, und blieb dort über die Wintermonate wo zwischen den Inseln hin und her segelte.

Später kaufte er ein Anwesen beim Coconut Grove in Florida, wo er gern während der Winterzeit blieb. Das Leben in Florida ermöglichte Baekeland ein weiteres Hobby. So kultivierte er dort seltene tropische Pflanzen, wobei er von seinem Nachbarn dem Botaniker Fairchild unterstützt wurde. Es machte Baekeland große Freude, tropischen Früchte, die in seinem Garten wuchsen, an die seine Freunde im Norden zu schicken.

Baekeland war sehr glücklich verheiratet und hatte zwei Kinder, Sohn George und Tochter Nina. Seine Frau Celine war nicht nur eine charmante Gastgeberin sondern auch unterstützte ihren Mann bei allen seinen Vorhaben. Allgemein war sie unter ihrem Spitznamen

„Bon Bon“ bekannt und spielte eine Schlüsselrolle, wenn es um den Luxus ihres Gatten ging.[459]  „Celine widmete sich ihrer Rosenzucht, ihrer Ölmalerei und der Veranstaltung intimer musikalischer Soireen in ihrem vorzüglich eingerichteten Salon.“[460]

Baekeland schien gut in die Rolle eines wohlhabenden Selfmade-Geschäftsmannes zu passen, so dass er mit anderen privilegierten Herren aus dem grünen Vorort Harmony Park auf gleichem Fuße stand, die jeden Morgen pflichtgemäß ihre dunklen Anzüge, hohen Krägen und Krawatten anlegten.[461]

 

Baekeland war lange Zeit Mitglied des U.S. Naval Consulting Board,  Mitglied des U. S. Nitrate Supply Commision, 1917 und ebenfalls im selben Jahr Vorsitzender des Commitee on Patents dem National Research Council.[462] Außerdem war er lange Zeit Treuhänder des Institute of International Education sowie seit 1925 mehrere Jahre Mitglied des Beirates der Chemistry Devision des U. S. Department of Commerce.[463]

 

Seit Mitte der 1930er Jahre und spätestens nach Verkauf der Bakelite Corporation an Union Carbide verbrachte Baekeland immer mehr Zeit in seiner Winterresidenz in Coconut Grove, Florida. „Er segelte mit seiner Yacht auf den Flüssen, kelterte seinen eigenen Wein und braute sein eigenes Bier, Angewohnheiten aus der Prohibitionszeit.“[464] In Florida zog Baekeland es vor sich völlig weiß zu kleiden, vom schneeweißen Tropenhelm über den weißen Sommeranzug bis zu den Kalkweißen Schuhen.[465] „Wenn ihm zu heiß war, schlenderte er völlig bekleidet in seinen Swimmingpool hinein und stand dann glückselig an der tiefsten Stelle, bis zum Hals in Wasser, und schritt dann zielsicher zu seinen Gefährten in die Sonne zurück.[466] Einem jeden, der seinen Geisteszustand zu bezweifeln wagte, flüsterte er im ins Ohr: Die Verdunstung hält einen Kühl.[467]

 

Baekeland zog sich zum Ende seines Lebens immer weiter in seine Privatsphäre zurück.[468]

Er verstarb am 23. Februar 1944. „Auf einer Gedenktafel, die von der Columbia University errichtet wurde steht: Kein Mensch verstand es, sinnvoller, erfolgreicher und schöner zu leben als Leo Baekeland.“[469]

 

7) Bakelite – „The Material of Thousand Uses“

 

Wie bereits dargelegt, handelt es sich beim Bakelite um einen unglaublich vielseitigen und umfassend einsetzbaren Stoff, der durch die liegenden Acht ∞ für seine unendlichen Möglichkeiten im Firmenlogo symbolisiert wird. Die gesamte Elektro- wie auch die Telekommunikationsindustrie konnte erst durch die Erfindung des Bakelites ihren rasanten Aufstieg nehmen. Ebenso die steigende Entwicklung der Autoindustrie profitierte von der Entdeckung dieses vollsynthetischen Kunststoffes. Bald hatte jeder Haushalt Gegenstände aus Bakelite

 

7.1) Artikel in der Zeitschrift „Kunststoffe“

 

In der Ausgabe vom 1. Juni 1912 findet sich in der, wie bereits dargelegt, noch jungen Zeitschrift „Kunststoffe“ der Artikel „Technische Notizen“, welcher anonym verfasst wurde. Dieser Artikel ist auf Grund seiner zeitgenössischen, umfassenden Darstellung von Anwendungsmöglichkeiten des Bakelites, für diese Arbeit von Belang.

Insbesondere hinlänglich der technisch wertvollen Eigenschaften des Bakelites ist dieser Artikel von Bedeutung, da in diesem erstmals öffentlich darauf aufmerksam gemacht wurde. Des Weiteren zeigt er auf, das bereits 1912 der Stoff Bakelite zu einer schier unglaublich vielseitigen Zahl von Anwendungen zu gebrauchen war.

Im Gegensatz zu Baekelands Artikel in der Chemiker-Zeitung, soll dieser Artikel nicht vollständig wiedergegeben werden, da es ansonsten zu ungewollten Überschneidungen kommen würde. Hier wird die Meinung vertreten, dass der Artikel bewusst von den Rütgers-Werken lanciert wurde. Zum Erscheinungsdatum des Artikels konnten noch nicht viele Personen die weitreichenden Möglichkeiten von Bakelite voraussehen und beschreiben.

Folgend kommt eigentlich nur Weger selbst als Autor in  Frage.  Dieser hat mit Baekeland gemeinsam Studien über die Möglichkeiten zur Anwendung des neuen Kunststoffes erarbeitet.[470]

Durch den regen Austausch mit Baekeland und eigenen Versuche, zeigt sich, dass nur die beiden zunächst das technische Grundlagenwissen und die Erfahrung für die Verfassung des Artikels in Frage kamen. Baekeland selber wohl nicht in Frage, da dieser auf dem Titelblatt der Zeitschrift als direkter Unterstützer genannt wird, und somit ein anonym verfasster Artikel seinerseits keinen Sinn macht.

                                  Abb. 12

 

Technisch wertvolle Eigenschaften des Bakelites.

Das Bakelite C bildet eine farblose bis hellgelbe, harte, durch den Fingernagel nicht ritzbare Masse vom spez. Gewicht von 1.25. Bakelite leitet Wärme und Elektrizität nicht und stellt einen hervorragenden Isolator für diese dar. Gegen mechanische Einflüsse wie Druck, Reibung, Stoß und gegen Wärme ist es außerordentlich widerstandsfähig.  Es kann ohne Zersetzung bis zu 300 °C erhitzt werden: darüber hinaus tritt Verkohlung, jedoch kaum Verbrennung ein. Gegen den Einfluß von Feuchtigkeit, verdünnten Säuren und Alkalien ist es unempfindlich. Nur von heißer konz. Schwefelsäure und Salpetersäure wird es zersetzt.

 

Kunstgewerblich wertvolle Eigenschaften des Bakelites.

Bakelite C als solches wird durchsichtig, wasserklar von wunderbarer Lichtbrechung, undurchsichtig und gewolkt in den verschiedensten Farben und Effekten in den Handel gebracht. Es läßt sich auf der Drehbank gut bearbeiten und wird wie Bernstein, Horn, Steinnuß etc. verwendet, denen es in mancher Beziehung überlegen ist. Es eignet sich vorzüglich zur Herstellung von Pfeifenmundstücken, Zigarrenspitzen, Schirm- und Stockgriffen, Knöpfen, Perlen und anderen Gebrauchs- und Schmuckgegenständen. Dem Zelluloid steht Bakelite hinsichtlich der Biegsamkeit etwas nach, genügt aber auch hierin den technischen Anforderungen vollkommen, es ist aber dauerhafter und insbesondere nicht feuergefährlich, wie Zelluloid. Dem Galalith ist es hauptsächlich wegen seiner absoluten Wasserbeständigkeit überlegen, und weil es durchsichtige Effekte gibt, die sich mit ersterem nicht erzielen lassen. Infolge seiner Elastizität, die derjenigen des Elfenbeins nahesteht, kann es zur Herstellung von Billardbällen benutzt werden, kurz die Verwendungsmöglichkeit des Bakelites in reinem Zustand ist sehr vielseitig.

 

Knöpfe und Handschuhkappen.

Schon mehr auf dem Gebiet der „Gebrauchsartikel“ liegt die Verwendung des Bakelites in der Knopfindustrie, wo es speziell als Horn- und Steinnußersatz rasch Fuß gefasst hat, zumal der Größe des Knopfes keine Grenze gesetzt ist wie bei vorgenannten Produkten. Man kann also aus bakelite große Knöpfe bis zu 80‘‘ verhältnismäßig ebenso billig herstellen, wie kleine Knöpfe von 28‘‘.In dieser Branche passt sich das Material jeder Anforderung an. Es eignet sich sowohl zur Herstellung von Mode- und Konfektionsknöpfen, als auch zur Fabrikation von Stapelartikeln etc. Wie konkurrenzfähig Bakelite auf diesem Gebiet ist, geht daraus hervor, daß seit einiger Zeit auch handschuhkappen in vielen Größen und Farben hergestellt und in den Handel gebracht werden.

Flüssiges Bakelite, Bakelite-Firnis und -Lack als Anstrich- und Imprägniermittel.

Trägt man das flüssige Bakelite A auf Holz auf, so erhält man nach dem Bakelisieren einen glänzenden Ueberzug von Bakelite, der jedem Lack weit überlegen ist. Verdünnte Säuren, Laugen, kochendes Wasser etc. vermögen selbst nach mehrstündiger Einwirkung dem so behandelten Holz seinen Glanz nicht zu nehmen. An Stelle von flüssigem Bakelite verwendet man zuweilen auch Bakelite-Firnis, d. i. eine alkoholische Lösung von besonders zubereitetem Bakelite A. Anstatt die mit Bakelite zu versehenden Gegenstände nur oberflächlich zu streichen, kann man diese auch mit Bakelite imprägnieren und ihnen dadurch neben einem gefälligen Aussehen erhöhte Haltbarkeit verleihen. Man verfährt dabei so, daß man in Bakelite A, das für diesen Zweck extra dünnflüssig hergestellt wird und dann ein hervorragendes Eindringungsvermögen besitzt, das gut getrocknete Holz hineinlegt, bis die Fasern eine möglichst große Menge des Bakelits aufgezogen haben. Vorteilhaft unterstützt man die Imprägnierung durch Anwendung von Vakuum und Druck. Nach erfolgter Bakelisierung ist aus dem imprägnierten Holz ein absolut dichtes und sehr hartes Material geworden, dessen Festigkeit und Widerstandsfähigkeit gegen mechanische und chemische Einflüße und gegen Fäulnis unerreicht sind. Die aus billigem, weichem Holz auf diese Weise erzeugten Produkte übertreffen in mancher Beziehung die teuren, härteren Hölzer, wie Mahagoni, Ebenholz, Pockholz etc. in ihren Eigenschaften um ein bedeutendes. Nicht nur Holz, auch billige Pappe, Papierganzzeug, Asbest und dergl. lassen sich auf dieselbe Weise in hartes, widerstandsfähiges Material überführen, das entweder vor der Behandlung geformt oder nach derselben durch Schnitzen, Drehen, Fräsen etc. die gewünschte Form erhalten kann.

 

In der elektrotechnischen Industrie besonders ist Bakelite berufen, eine hervorragende Rolle zu spielen, vermöge seiner vorzüglichen elektrischen Eigenschaften, doch zieht man hier des billigeren Preises wegen in der Regel geformte Bakelite-Gegenstände aus Bakelite in Mischung mit Asbest, Glimmer etc., von denen weiter unten noch die Rede sein wird, solchen aus rein-Bakelite vor. Armaturen und Spulen für Dynamos, die man jetzt mit schmelzbaren Isolierlacken umgibt, können durch einfaches Imprägnieren mit Bakelite A und die übliche Weiterverarbeitung im Bakelisator mit einem festen unschmelzbaren, gut isolierenden Ueberzug versehen werden. Ein solcher macht die bei Dynamos und Motoren durch Schmelzen des Isolierlackes zuweilen auftretenden Mißstände unmöglich; außerdem wird voraussichtlich eine höhere Belastung der genannten Maschinen dadurch zu ermöglichen sein. Auch zum Imprägnieren von Papier und zum Verkitten von Glimmer, Papier etc. kann Bakelite vermöge seiner hohen Isolation und Bindefähigkeit Anwendungen finden und besitzt von dem bisher verwendeten Schellack den großen Vorzug der Unschmelzbarkeit.

 

In der Metall-Industrie dient Bakelite-Firnis bezw. Bakelite-Lack nicht nur als isolierender Ueberzug, sondern überhaupt als Schutzanstrich gegen Rost, gegen Säuren, Laugen und andere chemische Einflüsse.

 

Bakelite-Lack.

Mit hervorragenden Erfolgen läßt sich Bakelite als Lack für die verschiedenen Metallarten benutzen; die Anwendung ist hier eine außerordentlich vielseitige. Einige der Branchen, für welche dieser Lack von speziellem Interesse ist, sind Fabriken von Kronleuchtern und Beleuchtungsartikeln aller Art. Für Lampenschirme und Lampenteile, welche der Hitze stark ausgesetzt sind und wofür bisher ein haltbarer Lack noch nicht gefunden war, für Lampenständer und Zubehörteile, um dieselben gegen den Einfluß von Oel, Petroleum, Spiritus etc. zu schützen, ferner für Baubeschläge, wie Türschilder, Türdrücker etc. ist Bakelite-Lack besonders geeignet. Sind solche aus Bronze oder Messing hergestellte Gegenstände nicht lackiert, so werden sie durch die Feuchtigkeit der Hände nach ganz kurzer Zeit schwarz und unansehnlich. Sind dieselben dagegen mit Bakelite-Lack lackiert, so tritt eine Verfärbung nicht ein und die klare, glänzende Farbe und Politur bleibt bestehen.

 

Messingbettstellen, Möbelbeschläge aller Art, Innen- und Außendekorationen für Läden und Schaufenster etc.

Hierbei ist hervorzuheben, daß sich der Bakelite-Lack gut gegen Witterungseinflüße bewährt und daher für Außendekorationen, wie Lackierungen von Firmenschildern und Reklameschildern mit großem Vorteil Anwendung findet; auch Marmor- und Kunststein erhalten durch den Lack einen vorteilhaften Schutz. Für die Verwendung von Bakelite ist – wie bei allen plastischen Substanzen, z. B. Gummi, Zelluloid, Harz – die Einfachheit der Formgebung ein maßgebender Faktor. Da Bakelite C absolut keine plastischen Eigenschaften besitzt – es läßt sich weder in der Kälte noch in der Wärme durch Pressen formen, oder unter Druck zusammenschweißen – so muß die Formgebungsarbeit in einem früheren Stadium des Prozesses des Prozesses erfolgen. Relativ leicht und schnell kann man verflüssigtes Bakelite A durch eingießen in Matrizen und Erhitzen im Bakelisator formen und härten. Jedoch ist dieses Verfahren für die meisten Zwecke zu langsam und erfordert zu viele Formen, so daß sich entweder die Kosten zu hoch stellen oder die Ausführung zu lange hinziehen würde. Auch kann man auf genannten Wege dem Bakelite nur eine beschränkte Menge von Füllstoffen einverleiben. Deshalb ist der Formgebungsprozeß so vereinfacht worden, daß die Formen nur sehr kurze Zeit benutzt werden brauchen. Man kann folgendermaßen verfahren: festes Bakelite A, das bei gewöhnlicher Temperatur spröde wie Kolophonium, jedoch noch schmelzbar ist, wird gepulvert und mit allen möglichen Füllmitteln, wie Sägespänen, Holzganzzeug, Papiermasse, Asbest, Glimmer, feinem Sand, Schiefermehl, Graphit etc. etc. je nach Beschaffenheit von 60-80 % innig vermischt. Dann wird das Gemisch in einer eisernen Form unter einer durch Gas, heißes Oel oder Dampf auf etwa 160-170° heizbaren, am besten hydraulischen presse komprimiert. Hierbei schmilzt das Bakelite A und verkittet unter genauester Ausfüllung der Form den Füllstoff vollkommen, indem es sich gleichzeitig durch die Wirkung der Hitze in Bakelite B verwandelt. Es ist im diesem Zustande nicht mehr schmelzbar und kann daher bald aus der Form entfernt werden, worauf diese zu weiterem Gebrauch frei ist. Hat sich eine größere Anzahl Preßstücke angesammelt, so werden sie ohne Form in den oben erwähnten Bakelisator durch Wärme und Druck in den C-Zustand übergeführt und erreichen dadurch den höchsten Grad von Härte, Hitzebeständigkeit und Festigkeit. Nach diesem, im hohen Grade wertvollen und wichtigen Verfahren stellt man insbesondere alle möglichen, selbst die kompliziertesten, mit Löchern, Stegen, Gewinden etc. versehenen Bedarfsartikel für die Elektrotechnik her, z. B. Isolierplatten, Schalttafeln, Schalter, Lampengriffe, und andere Isoliergriffe, Bürstenhalter, Spulenträger, Verteilerscheiben, kappen etc. etc. Von den Gebrauchsgegenständen aus anderen Gebieten seinen erwähnt Bügeleisengriffe, Tiegelgriffe, Kannenhenkel, Messergriffe, Bürsten- und Handspiegelgriffe, Teller, Bierglasuntersätze etc. Damit ist aber das Verwendungsgebiet des Bakelites noch nicht erschöpft; seine wertvollen Eigenschaften lassen es vielmehr dazu berufen erscheinen, noch auf vielen anderen Gebieten eine große Rolle zu spielen. Wir wollen nur noch seiner Verwendung in der Grammophonplatten-Industrie Erwähnung tun und kurz andeuten, daß es als Bindemittel einerseits für Schleifmaterialien, andererseits für Graphit etc. zur Herstellung von Dichtungsplatten, Dichtungsringen, Ventilregeln und Antifrikations-Lagern und schließlich als Verkittungsmittel für Borsten in Pinseln und Bürsten dienen kann.“[471]

 

7.2) Bakelite und Design

 

Objekte aus Bakelite erlebten ihre Blütezeit in Europa und den USA ab Mitte der 1920er Jahre bis hin zu den 1950er Jahren.[472] Der Höhepunkt des Maschinenzeitalters in den 20er und 30er Jahren, war gleichzeitig ein goldenes Zeitalter für Bakelite.[473] Zu jener Zeit gab es fast keinen Haushalt ohne Bakelite-Objekte. Das Serienpressverfahren ermöglichte die Produktion hoher Stückzahlen von Gebrauchsgütern aller Art. „Die vorherrschenden Gestaltungselemente der 30er Jahre, die wir heute als art déco bezeichnen, haben ihren Ursprung eben dieser Fertigungstechnik zu verdanken.“[474] Abgerundete Ecken und Kanten, Gegenstände „aus einem Guss“ stellen im Design und häufig auch in der bildenden Kunst wichtige Erkennungszeichen dieser Stilepoche dar, deren Objekte bei Sammlern heute sehr begehrt sind.[475] „Sie erklären sich aus den Besonderheiten der Herstellung in der Form.“[476] „Die Bezeichnung  „Art Déco“ geht auf eine Ausstellung 1966 in Paris zurück, die einen umfassenden Rückblick über die Kunst der „Exposition des Arts Décoratifs et Industriels Modernes“ von 1925 bot.“[477]  In München entstand 1907 der „Deutsche Werkbund“.  Die Gründer dieser Vereinigung, bestehend aus Architekten, Künstlern und Industriellen, hatten es sich zur Aufgabe gemacht, reformerisch und aufklärend auf alle Gebiete von Wissenschaft und Kunst einzuwirken und diese miteinander zu verbinden.[478] Die Nähe von Kunst und Industrie, führte dazu, dass die Funktion eines Gegenstandes im wesentlichem seine äußere Form vorgeben sollte.[479] „Bestimmend für die Designqualität wurde daher eine eher funktional bezogene Gebrauchskunst, deren Exemplare nicht so sehr faszinierende Unikate waren, sondern Prägnanztypen der neuen technischen Zivilisation.“[480]

Sogar Coco Chanel designte in den 30er Jahren Schmuck aus Bakelite.[481] Also neben elektrotechnischen Geräten fand das Bakelite auch Eingang in die Mode und bestimmte sie sogar kurzfristig mit.[482] Dies lag auch daran, dass farbige Bakelite-Harze entwickelt wurden, die dem Material zusätzliche Attraktivität verlieh, und es so auch im Luxusbereich zunehmend an Bedeutung gewann.[483]

Nachfolgend soll eine Darstellung verschiedener Bakelite-Objekte aufgezeigt werden.

Hier sind vor allem elektrotechnische Geräte von Belang, da  die Geschichte ihrer Entwicklung mit der These einhergeht, dass erst die Erfindung des Bakelites ihre Verbreitung im Rahmen der zweiten industriellen Revolution ermöglichte.

 

7.2.1 Industrie und Verkehrswesen

 

Im Gegensatz zu den späteren Gebrauchsgütern hing das Design für die Industrie alleinig vom Nutzen ab.[484] Bakelite wurde zunächst vor allem wegen wie bereits beschriebenen stromisolierenden Eigenschaften für die Produktion von Steckern und Schaltern verwendet. Trotz seiner Härte konnte Bakelite leicht bearbeitet werden. Die verschieden Bakelite-Zustände ermöglichten den Einsatz für unterschiedliche Anwendungen. Bakelite hielt auch Einzug in die wachsende Automobilindustrie.[485] Die bis dahin verwendeten elektrischen Isolationsmaterialien, konnten auf  Dauer nicht der Hitze, den Gasen und dem Öl widerstehen.[486] Die anti-korrosive Eigenschaft des Bakelites ermöglichte seine weitreichende Verwendung als Zusatz für Lacke und Emaille, die dadurch haltbarer und widerstandsfähiger wurden.[487] Laminierungen auf Bakelite-Basis erwiesen sich hinsichtlich der Verwendungsmöglichkeiten als äußerst vielseitig, insbesondere hinlänglich der elektrischen und mechanischen Anwendbarkeit. Das öffentliche Verkehrswesen, welches auf die Elektrizität angewiesen war – Elektrische Züge, Oberleitungsbusse und Straßenbahnen – nutzten Bakelite-Produkte, wie z B. für Anschlussstücke, Schutzabdeckungen für Transformatoren und für die Isolation von Relaissätzen. Auch die damals luxuriösen Überseedampfer, wie die „Queen Mary“ waren mit Bakelite-Materialien ausgestattet.

 

                              Abb. 13


7.2.2) Elektrotechnische Geräte

 

Die frühe Produktion von Bakelite ging einher mit der Entwicklung der Elektroindustrie.[488]

Nun konnte das Isoliermaterial für Kabel und elektrische Systeme billiger hergestellt werden. Schon bald war Bakelite als Werkstoff für alle möglichen elektrischen Geräte, vor allem unverzichtbar im Telekommunikationsbereich. Dies resultierte daraus, dass zu Beginn der Elektrifizierung eine fahrlässige Handhabung mit Strom vorherrschte.[489] Es wurde anfangs völlig ohne Isolierung einfach Draht auf Holz genagelt, selbst bei großtechnischen Elektromotoren. Die meisten Materialien vor der Erfindung des Bakelites, die als Isolator verwendet wurden, waren Kautschuk, Hartgummi, Metall Porzellan und Holz.[490] Diese waren nicht nur untauglich sondern auch gefährlich. Zwar hatte man nach dem Zufallsprinzip mit verfügbaren synthetischen Stoffen wie z. B. Celluloid oder Galalith experimentiert.[491] Celluloid war jedoch extrem feuergefährlich, und deswegen ungeeignet. Bei Galalith handelte es sich um einen neuartiges Material, das aus Kasein und Formaldehyd bestand. Es war schwer entflammbar und ließ sich gut Formen, war jedoch nicht von Wert für die Elektroindustrie, da es eine hohe Wasseraufnahmefähigkeit besaß. Wie bereits dargelegt konnte das natürliche Harz Schellack die Nachfrage bald nicht mehr decken und Kautschuk erwies sich als nicht vorteilhaft, da es keine hohen Elektrischen Belastung verkraftete.

 

Folgend soll nun eine Darstellung elektrischer Geräte erfolgen, um zu zeigen, welche Bedeutung die Erfindung des Bakelites als Wegbereiter für die Massenproduktion eben dieser hatte. Insbesondere anhand von Telefon und Radio verdeutlicht sich welche soziokulturellen Wandlungen mit der Erfindung des Bakelites einhergegangen waren. Die steigende  Nachfrage und  der Absatz konnten erst durch Bakelite generiert werden. Bald gab es keinen Haushalt mehr ohne Bakelite-Anwendungen.

 

7.2.2.a) Telefone

 

Vor der Massenproduktion, wurden Telefone aus Holz, Metall (Messing oder Stahl) und gehärteten Gummi hergestellt.[492] So waren die frühen Telefone von ihrem Design her mehr Dekoration und weniger zweckmäßig. Einhergehend mit der Massenproduktion wurde das Design wirtschaftlich und somit stark vereinfacht. Zunächst wurden die Telefone jedoch zum großen Teil aus Holz gefertigt und waren entsprechend kostspielig. Erst die Verwendung von Bakeltite ermöglichte eine umfassende Massenproduktion und führte zu einer Kostenreduzierung der Produktion um 30 Prozent.[493] 

                       Abb. 14

 

Die massenhafte Herstellung von Telefonen unterlag vier technischen Vereinfachungen: Hörer und Mundstück wurden zusammengefasst,  die Aufhängung wurde weggelassen, eine Wählscheibe für den eigenständigen Verbindungsaufbau wurde hinzugefügt und die Elektrik wurde in einem Gehäuse untergebracht.

Durch die stetig wachsende Verbreitung des Telefons, und mit dem Gedanken der Kostenreduzierung, begannen Ingenieure und Techniker mit aushärtbaren Kunstoffen zu arbeiten.

In den frühen Jahren der Telekommunikation waren die technischen Spezifikationen und die Funktionsfähigkeit der Apparate die vorrangigen Belange der Telefongesellschaften. So mussten diese haltbar, robust und möglichst Wartungsfrei sein. Zwangsläufig führte die Massenproduktion zu einem vereinfachten Design.[494] Dazu passten die neu entwickelten Formpressverfahren, die ein vereinfachtes stromlinienförmiges Design begünstigten.

1927 hat die Bell Telephone Company, die vom Erfinder Alexander G. Bell gegründet wurde, ein Apparat aus schwarzen Phenolharz auf den Markt gebracht, dieser war jedoch klobig und unhandlich. Folgend beauftragte Bell den Industriedesigner Henry Dreyfuss mit der Bitte “a little art to wrap the telephone in“. Während nun Dreyfuss das äußere Design veränderte, arbeiteten Bells Ingenieure an der inneren Mechanik. So erschien 1937 ein Apparat aus schwarzen Bakelite, der kompakter und technisch verbessert war, jedoch war der Hörer immer noch zu schwer und lag nicht richtig auf der Telefongabel. Zudem war die Wählscheibe schwer zu reinigen. 1950 überarbeitete Dreyfuss seinen Entwurf. Das neue Modell  war insgesamt haltbarer, stromlinienförmiger und leichter zu reinigen. Der Hörer wurde ebenfalls überarbeitet, so dass er weniger geneigt war.

Bakelite wurde zunächst in den USA, und etwas später in Europa, für den Bau von Telefonen verwendet.

In den Niederlanden erschien 1931 das erste ausschließlich aus Bakelite hergestellte Telefon, welches von „Ericsson Telefoon“  produziert wurde. So verbreiteten sich in den Niederlanden während der 1930er Jahre verschiedene Telefonmodelle, deren Gemeinsamkeit darin bestand, dass sie alle aus schwarzen Bakelite gefertigt waren. Jedoch waren die Bauteile nicht untereinander austauschbar. Dies führte dazu, dass die niederländische Postbehörde Ericsson Telefoon beauftragte ein standartisiertes “universal telephone“ zu entwickeln, das ebenfalls aus Bakelite bestand. In Großbritannien wurde dem niederländischen Beispiel gefolgt.

Die Massenproduktion von Telefonen führte also zu einer weltweiten Vernetzung, die einhergehend mit der nachfolgend dargelegten Verbreitung des Radios, den Beginn des Informationszeitalters begründete.   

 

7.2.2.b) Radios

 

Die erste Radiosendung wurde 1919 in den Niederlanden gesendet.[495] Es folgten ein Jahr später ein Jahr später Übertragungen in den USA und 1922 in Deutschland und Großbritannien. Einhergehend mit der Zunahme von Radioübertragungen in Europa und den USA erhöhte die Nachfrage nach Radios. Zwischen 1920 und 1927 stieg der jährliche Umsatz von Radioempfängern von 2 Millionen Dollar auf 136 Millionen Dollar. Im selben Zeitabschnitt stieg die Zahl der Radiostationen von 3 auf über 800. Schon 1931 hatte sich das Radio weltweit verbreitet und Amerika war trotz der großen Depression, oder grade deswegen Zentrum dieser Ära.[496] In den USA waren großen Elektronik-Firmen wie Westinghouse, RCA und General Electric nicht nur Produzenten von Radios, sondern auch Eigentümer der Radiostationen, wodurch sie den Verkauf von Radios forcierten.

 

In Mitte der 1920er Jahre bestanden die frühen Radios aus einem Holzbrett, an dem die einzelnen Komponenten befestigt waren. So wurde erst in den späten 20er Jahren dazu übergegangen, Gehäuse aus Bakelit zu konstruieren. Mithilfe von Pressformen war es nun möglich Radios in Großserie (meinst 100 000 Stück oder mehr) zu produzieren.[497]

 

8) These

 

Mit dem Beginn der 1920er Jahre setzte die Verbreitung von haushaltstechnischen Geräten auf Basis von Strom und Gas ein.[498] In seiner Funktion als Stromisolator war Bakelite der entscheidende Baustein zum raschen Ausbau der Stromnetzte und damit auch der zur Verbreitung von elektrotechnischen Geräten. Wie stark der Ausbau voranging, zeigte sich am Beispiel von Berlin: Dort waren 1918 nur 6,6% der Wohnungen elektrifiziert, 1933 waren es bereits über 76%.[499] Diese Entwicklung war konform mit der Verbreitung von Telefonleitungen.[500]

Durch Bakelite war es nun möglich, auf der einen Seite die Nachfrage zu generieren und gleichzeitig die Massenproduktion elektrischer Geräte zu ermöglichen. Bakelite wurde, wie sich gezeigt hat, nicht nur für elektrische Geräte verwendet, sondern war auch ein wichtiger Rohstoff für die Massenproduktion von Gebrauchsgütern aller Art. Während der Großen Depression, mussten die Hersteller vor allem preisgünstig und innovativ sein.[501] Nachdem Baekelands Patent 1927 auslief, entstanden allein in Deutschland mehrere hundert Presswerke und Hersteller von Phenolharzpressmassen.[502]

Mit dem ersten synthetischen Kunststoff, begründet auf Phenol, einem zunächst nicht verwertbar geglaubten Stoff, begann ein neues Zeitalter, von diesem die Menschheit bis heute profitiert. So zeigt die Vielfallt von Anwendungen gleichzeitig die Lücke, die sich bei einem hypothetischen Nichtvorhandensein von Kunststoffen auftun würde. Nicht nur materielle, sondern auch kulturelle und gesellschaftliche Prozesse hätten verzögert oder gar nicht ihren Lauf nehmen können. Erst Bakelite machte die Technisierung im Haushalt möglich. Man kann also von der Veränderung der Arbeitsverfahren im Haushalt sprechen.[503] „Während bis zum ersten Weltkrieg in den Haushalten die manuelle Arbeit mit einfachen Werkzeugen und einfachen mechanischen Geräten vorherrscht und die Arbeitsbereiche noch kaum unter den Gesichtspunkten der Arbeitsorganisation und Zeitersparnis betrachtet werden, ändert sich das nach 1920 durch das Eindringen großtechnischer Infrastrukturen, industrieller Organisationsprinzipien und industrieller Massenprodukte.“[504] Die Technisierung der Haushalte und die damit verbundene, gesteigerte Lebensqualität war eine weitere Facette des beginnenden Kunststoffzeitalters.  Das Ergebnis von Forschungen kann zu entscheidenden Veränderungen führen, die auch über Dekaden die Wirtschaft  und Kultur beeinflussen.

Das Bakelite ermöglichte zur jener Zeit der Auto-, Elektro, Telekomunikation- und Kunststoffindustrie der steigenden Nachfrage ihrer Produkte nachzukommen und den Weg für Weiterentwicklungen bahnte. Die Autos wurden komfortabler und sicherer, der Elektrizität wurde die Gefährlichkeit genommen und neue elektrische Geräte für Industrie sowie für Privathaushalte kamen bezahlbar auf den Markt. Durch standardisierte und handliche Telefone aus Bakelite begann das Telekommunikationszeitalter.

Die Massenproduktion, die durch Bakelite erstmals möglich wurde, begründete auch die heutige Konsumgesellschaft, die ebenfalls ohne moderne Kunststoffe nicht funktionieren würde.  

Baekelands war sich zum Teil der Auswirkungen seiner Forschungen bewusst, wie der Artikel in der deutschen „Chemiker-Zeitung“ offengelegt hat. Jedoch war es die anwendungsorientierte Herangehensweise Baekelands in Zusammenwirkung mit seiner Expertise und Beharrlichkeit, die letztendlich dazu führte, erfolgreich die Probleme zu lösen und mit Bakelite eine neue Ära zu ergründen.

 

9) Literaturverzeichnis

 

9.1) Quellen

 

·         Baekeland, Leo H.: Bakelit und Resit. Erwiderung auf  Dr. H. Lebachs Veröffentlichung über Resinit, in: Angewandte Chemie, Vol. 22, Nr. 41 (08.10.1909), S. 2006 -2007.

·         Baekeland, Leo H.: Bakelit, ein neues synthetisches Harz (I), in: Chemiker Zeitung 33, Nr. 35 (1909), S. 317-318.

·         Baekeland, Leo H.: Bakelit, ein neues synthetisches Harz (II), in: Chemiker Zeitung 33, Nr. 36 (1909), S. 326-328.

·         Baekeland, Leo H.: Bakelit, ein neues synthetisches Harz (III), in: Chemiker Zeitung 33, Nr. 38 (1909), S. 347-348.

·         Baekeland, Leo H.: Bakelit, ein neues synthetisches Harz (IV), in: Chemiker Zeitung 33, Nr. 39 (1909), S. 358-359 .

·         o. V.:, technische Notizen, Kunststoffe 2 (1912), S. 197-199.

 

9.2) Internetquellen

 

·         http://www.materialarchiv.ch/materialarchiv/ws/helper/specsheet.php?id=1146

(eingesehen am 27.08.2014)

·         http://www.duden.de/rechtschreibung/Kunststoff (eingesehen am 07.09.2104)

·         http://www.nasonline.org/publications/biographical-memoirs/memoir-pdfs/baekeland-leo-h.pdf. (eingesehen am 17.07.2014)

·         http://de.wikipedia.org/wiki/Bakelite (eingesehen am 29.09.2014)

·         http://plasticker.de/fachwissen/history_people_detail.php?id=6

(eingesehen am 06.10.14)

·         http://www.chemieforum-erkner.de/projekte/forschung/erkner/projekt_erkner_chronik.htm

(eingesehen am 29.09.2014).

 

 

 9.3) Literatur

 

 

·         Alef ,Daniel:  Leo "Doc" Baekeland: Father of Plastic, Santa Barbara. 2007.

·         Bakelite Gesellschaft MBH: Bakelite Preßmassen. Ihre Herstellung und Verarbeitung, Erkner / Berlin 1936.

·         Bakelite Gesellschaft MBH: Bakelite der deutsche Werkstoff,  Erkner / Berlin 1936.

·         Bernal, J. D.: Wissenschaft. Die Naturwissenschaften der Gegenwart, Hamburg 1970.

·         Bijker, Wiebe E.: Of  Bicycles, Bakelites, and Bulbs. Toward a Theory of Sociotechnical Change, Cambridge 1995.

·         Braun, Dietrich: Kleine Geschichte der Kunststoffe, München 2013.

·         Braun, Dietrich; Collin, Gerd: 100 Jahre Bakelit, in: Chem. Unserer Zeit 2010, 44,

S. 190-197.

·         Clark, Tessa: Bakelite Style,  New Jersey 1997.

·         Crespy, Daniel; Bozonnet, Marianne; Meier, Martin: 100 Jahre Bakelit: das Material für 1000 Anwendungen, in: Angew. Chem. 2008,120, S. 3368-3374.

·         Cook, Patrick; Slessor, Catherine: Bakelite. An illustrated guide to collectable Bakelite objects, New Jersey 1992.

·         Collin, Gerd: Zur Geschichte der Bakelite-Duroplaste, in: Zeitzeugenberichte V -Chemische Industrie-. Tagung “Industriekreis“ der GDCh-Fachgruppe Geschichte der Chemie 22-23 August 2002 in Leverkusen (=Gesellschaft Deutscher Chemiker, Bd. 26), hg. v. K. Krug und D. Wagner, Frankfurt am Main 2003., S.147-170.

·         Collin, Gerd: Geschichte der Steinkohlenteerchemie am Beispiel der Rütgerswerke, Hamburg 2009.

·         Domininghaus, Hans; Elsner, Peter; Eyerer, Peter; Hirth, Thomas: Kunststoffe. Eigenschaften und Anwendungen, Heidelberg, Dordrecht, London, New York, 2012.

·         Eckert, Armin; Schröter, Stephan : Phenolharze und Formmassen als erster Duroplast – Anwendung heute, in: Bakelit. Ein Werkstoff mit Zukunft (Begleitpublikation zur gleichnamigen Sonderausstellung des Landesmuseums Koblenz und des Kunststoff-Museums-Vereins e.V.), hg. v. Ulrich Löber, Koblenz 1993, S. 67-74.

·         Franck, H.-G.; Collin, G.: Steinkohlenteer. Chemie, Technologie und Verwendung, Berlin, Heidelberg, New York 1968.

·         Franck, H.-G.; Knop, A.: Kohleveredlung. Chemie und Technologie, Berlin, Heidelberg, New York 1979.

·         Fenichell, Stephen: plastic. Unser synthetisches Jahrhundert, Berlin 1997.

·         Gnauck, Bernhard; Fründt, Peter: Einstieg in die Kunststoffchemie, München 1991.

·         Green, Harald: „Bakelit“-Kunststoffe. Technologie der chemischen Großproduktion, in: Bakelit. Ein Werkstoff mit Zukunft (Begleitpublikation zur gleichnamigen Sonderausstellung des Landesmuseums Koblenz und des Kunststoff-Museums-Vereins e.V.), hg. v. Ulrich Löber, Koblenz 1993, S. 33-44.

·         Hansen, Achim: Von der chemischen Grundlagenforschung zum synthetischen Werkstoff, in: Bakelit. Ein Werkstoff mit Zukunft (Begleitpublikation zur gleichnamigen Sonderausstellung des Landesmuseums Koblenz und des Kunststoff-Museums-Vereins e.V.), hg. v. Ulrich Löber, Koblenz 1993, S. 47-54.

·         Hultzsch, K.: Chemie der Phenolharze, Berlin, Göttingen, Heidelberg 1950.

·         Kaiser, Wolfgang: Kunststoffchemie für Ingenieure. Von der Synthese bis zur Anwendung, München 2011.

·         Karraker, Hugh: A Portrait of Leo H. Baekeland, in: 100+ Years of Plastics. Leo Baekeland and Beyond, hg. v. E. Thomas Strom; Seth C. Rasmussen, Washington DC 2011, S. 11-20.

·         Kaufmann, Carl B.: Leo H. Baekeland, 100+ Years of Plastics. Leo Baekeland and Beyond, hg. v. E. Thomas Strom; Seth C. Rasmussen, Washington DC 2011, S. 1-10.

·         Kölsch, Hans Ulrich: Bakelit und Design. Formgebung und frühe Interpreten, in: Bakelit. Ein Werkstoff mit Zukunft (Begleitpublikation zur gleichnamigen Sonderausstellung des Landesmuseums Koblenz und des Kunststoff-Museums-Vereins e.V.), hg. v. Ulrich Löber, Koblenz 1993, S. 81-92, S. 82.

·         König, Wolfgang: Geschichte der Konsumgesellschaft, Stuttgart 2000.

·         Kreibich, Rolf: Die Wissensgeselschaft. Von Galilei zur High-Tech-Revolution,

·         Frankfurt am Main 1986.

·         Kricheldorf, Hans R.: Menschen und ihre Materialien. Von der Steinzeit bis heute, Hamburg 2012.

·         Löber, Ulrich: Leo Hendrik Baekeland. Biographische Notizen, in: Bakelit. Ein Werkstoff mit Zukunft (Begleitpublikation zur gleichnamigen Sonderausstellung des Landesmuseums Koblenz und des Kunststoff-Museums-Vereins e.V.), hg. v. Ulrich Löber, Koblenz 1993, S. 16-26.

·         Meikle, Jeffrey L: American Plastic. A Cultural History, New Jersey 1995.

·         Roth, L.; Rupp, G.: Formaldehyd, Heidelberg u.a., 2014.      

·         Schlottau, Klaus: Das Gaswerk als Altlast. In: Braun, Hans-Joachim (Hg.): Energie: Gas und Kernkraft, Freiberg 2012 (Die Technikgeschichte als Vorbild moderner Technik, Band 35), S. 83-106.

·         Schwedt, Georg: Plastisch, elastisch, fantastisch. Ohne Kunststoffe geht es nicht, Weinheim 2013.

·         Tschimmel, Udo: Die Zehntausend-Dollar-Idee. Kunststoff-Geschichte vom Zelluloid zum Superchip, Düsseldorf, Wien, New York 1989.

 

9.4) Abbildungsverzeichnis

 

·         Abb. 1

Clark, Tessa: Bakelite Style,  New Jersey 1997, S. 37.                                     

·         Abb. 2                                                 

Clark, Tessa: Bakelite Style,  New Jersey 1997, S. 121.

·         Abb. 3                                     

Domininghaus, Hans; Elsner, Peter; Eyerer, Peter; Hirth, Thomas: Kunststoffe. Eigenschaften und Anwendungen, Heidelberg, Dordrecht, London, New York, 2012, S. 1035.

·         Abb. 4

Gnauck, Bernhard; Fründt, Peter: Einstieg in die Kunststoffchemie, München 1991.

S. 167.

·         Abb. 5

Domininghaus, Hans; Elsner, Peter; Eyerer, Peter; Hirth, Thomas: Kunststoffe. Eigenschaften und Anwendungen, Heidelberg, Dordrecht, London, New York, 2012, S. 1036.

·         Abb. 6

Domininghaus, Hans; Elsner, Peter; Eyerer, Peter; Hirth, Thomas: Kunststoffe. Eigenschaften und Anwendungen, Heidelberg, Dordrecht, London, New York, 2012, S. 1037.

·         Abb. 7

Löber, Ulrich: Leo Hendrik Baekeland. Biographische Notizen, in: Bakelit. Ein Werkstoff mit Zukunft (Begleitpublikation zur gleichnamigen Sonderausstellung des Landesmuseums Koblenz und des Kunststoff-Museums-Vereins e.V.), hg. v. Ulrich Löber, Koblenz 1993, S. 16-26, S. 16.

·         Abb. 8

Chemiker Zeitung 33, Nr. 35 (1909)

           

·         Abb. 9

Ein Werkstoff mit Zukunft (Begleitpublikation zur gleichnamigen Sonderausstellung des Landesmuseums Koblenz und des Kunststoff-Museums-Vereins e.V.), hg. v. Ulrich Löber, Koblenz 1993, S. 27.

·         Abb. 10

https://www.kunststoffe.de/kunststoffe-zeitschrift/archiv/artikel/rueckblick-bakelit-erobert-die-welt-538845.html (eingesehen am 07.10.14)

·         Abb. 11

https://www.kunststoffe.de/kunststoffe-zeitschrift/archiv/artikel/rueckblick-bakelit-erobert-die-welt-538845.html

·         Abb. 12

            Kunststoffe 2 (1912)

·         Abb. 13

Cook, Patrick; Slessor, Catherine: Bakelite. An illustrated guide to collectable Bakelite objects, New Jersey 1992, S. 15.

·         Abb. 14

·         Cook, Patrick; Slessor, Catherine: Bakelite. An illustrated guide to collectable Bakelite objects, New Jersey 1992, S. 25.

 

 

 

 



[1] Vgl. Crespy, Daniel; Bozonnet, Marianne; Meier, Martin: 100 Jahre Bakelit: das Material für 1000 Anwendungen, in:  zeitschrift für Angewandte Chemie. 2008,120, S. 3368-3374, hier S. 3368.

[2] Ebd.

[3] Vgl. Kaufmann, Carl B.: Leo H. Baekeland, 100+ Years of Plastics. Leo Baekeland and Beyond, hg. v. E. Thomas Strom; Seth C. Rasmussen, Washington DC 2011, S. 1-10, S. 1.

[4] Vgl. ebd.

[5] Vgl. ebd., S. VI.

[6] Vgl. Kricheldorf, Hans R.: Menschen und ihre Materialien. Von der Steinzeit bis heute, Hamburg 2012, S. 1

[7] Vgl. ebd.

[8] Vgl. Braun, Dietrich: Kleine Geschichte der Kunststoffe, München 2013, S. VI.

[9] Ebd.

[10] Vgl.  Ebd.

[11] Ebd.

[12] Ebd..

[13] Vgl. ebd., S. XII.

[14] Vgl. ebd.

[15] Ebd.

[16] Ebd.

[17] Gnauck, Bernhard; Fründt, Peter: Einstieg in die Kunststoffchemie, München 1991, S. 13

[18] Ebd.

[19] Ebd.

[20] Vgl. Tschimmel, Udo: Die Zehntausend-Dollar-Idee. Kunststoff-Geschichte vom Zelluloid zum Superchip, Düsseldorf, Wien, New York 1989, S. 61.

[21] Ebd.

[22] Ebd.

[23] Ebd., S.61-63.

[24] Vgl. ebd., S. 63.

[25] Bezüglich der Verfahren in Gaswerken und Kokereien sowie der Zusammensetzung der dabei auftretenden Neben- und Abfallprodukte Vgl.: Schlottau, Klaus: Das Gaswerk als Altlast. In: Braun, Hans-Joachim (Hg.): Energie: Gas und Kernkraft, Freiberg 2012 (Die Technikgeschichte als Vorbild moderner Technik, Band 35), S. 83-106, hier S. 102f.

[26] Baekeland, Leo H.: Bakelit, ein neues synthetisches Harz, in: Chemiker Zeitung 33 (1909), S.317-318, 326-328, 347-348, 358-359.

[27] Hultzsch, K.: Chemie der Phenolharze, Berlin, Göttingen, Heidelberg 1950.

[28] Domininghaus, Hans; Elsner, Peter; Eyerer, Peter; Hirth, Thomas: Kunststoffe. Eigenschaften und Anwendungen, Heidelberg, Dordrecht, London, New York, S. 2012.

[29] Vgl. Tschimmel, Udo: a.a.O., S. 61.

[30] Franck, H.-G.; Collin, G.: Steinkohlenteer. Chemie, Technologie und Verwendung, Berlin, Heidelberg,

New York 1968.

[31] Collin, Gerd: Geschichte der Steinkohlenteerchemie am Beispiel der Rütgerswerke, Hamburg 2009.

[32] Collin, Gerd: Zur Geschichte der Bakelite-Duroplaste, in: Zeitzeugenberichte V -Chemische Industrie-. Tagung “Industriekreis“ der GDCh-Fachgruppe Geschichte der Chemie 22-23 August 2002 in Leverkusen (=Gesellschaft Deutscher Chemiker, Bd. 26), hg. v. K. Krug und D. Wagner, Frankfurt am Main 2003., S.147-170.

 

[33] Vgl. Tschimmel, Udo: a.a.O., S. 56

[34] Ebd.

[35] Vgl. ebd.

[36] Vgl. ebd.

[37] Fenichell, Stephen: plastic. Unser synthetisches Jahrhundert, Berlin 1997, S. 107.

[38] Vgl. ebd.

[39] Ebd., S. 108.

[40] Tschimmel, Udo: a.a.O., S. 60.

[41] Fenichell, Stephen: a.a.O., S. 108.

[42] Vgl. Crespy, Daniel; Bozonnet, Marianne; Meier, Martin: 100 Jahre Bakelit: das Material für 1000 Anwendungen, in: Angew. Chem. 2008,120, S. 3368-3374,S. 3368.

[43] Vgl. Fenichell, Stephen: a.a.O., S. 109.

[44] Ebd.

[45] Ebd.

[46] Braun, Dietrich: Kleine Geschichte der Kunststoffe, München 2013, S. 206.

[47] Vgl. Löber, Ulrich: Leo Hendrik Baekeland. Biographische Notizen, in: Bakelit. Ein Werkstoff mit Zukunft (Begleitpublikation zur gleichnamigen Sonderausstellung des Landesmuseums Koblenz und des Kunststoff-Museums-Vereins e.V.), hg. v. Ulrich Löber, Koblenz 1993, S. 17-26, S. 24.

[48] Ebd.

[49] Vgl. Braun, Dietrich: a.a.O., S. 207.

[50] Ebd.

[51] Braun, Dietrich; Collin, Gerd: 100 Jahre Bakelit, in: Chem. Unserer Zeit 2010, 44, S. 190-197, S. 195.

[52] Ebd.

[53] Vgl. Braun, Dietrich: a.a.O. S. 107.

[54] Clark, Tessa: Bakelite Style,  New Jersey 1997.

[55] Cook, Patrick; Slessor, Catherine: Bakelite. An illustrated guide to collectable Bakelite objects,

New Jersey 1992.

[56] Vgl. Crespy, Daniel; Bozonnet, Marianne; Meier, Martin: a.a.O., S. 3373.

[57] Bakelit. Ein Werkstoff mit Zukunft (Begleitpublikation zur gleichnamigen Sonderausstellung des Landesmuseums Koblenz und des Kunststoff-Museums-Vereins e.V.), hg. v. Ulrich Löber, Koblenz 1993.

[58] Braun, Dietrich: a.a.O.

[59] Tschimmel, Udo: a.a.O., S. 54.

[60] Fenichell, Stephen: a.a.O., S. 98.

[61] Ebd.

[62] Vgl. Crespy, Daniel; Bozonnet, Marianne; Meier, Martin: a.a.O., S. 3371.

[63] Ebd.

[64] Ebd.

[65] Tschimmel, Udo: a.a.O., S. 70.

[66] Vgl. für das Folgende: Ebd., S. 70-71.

[67] Vgl. Crespy, Daniel; Bozonnet, Marianne; Meier, Martin: a.a.O., S. 3372.

[68] Ebd.

[69] Ebd.

[70] Vgl. Fenichell, Stephen: a.a.O., S. 119.

[71] Vgl. ebd.

[72] Kaufmann, Carl B.: a.a.O., S. 10.

.

 

[73] Vgl. ebd.

[74] Vgl. Fenichell, Stephen: a.a.O., S. 120.

[75] Vgl. Kaufmann, Carl B.: a.a.O., S. 10.

[76] Fenichell, Stephen: a.a.O., S. 120-121.

[77] Ebd., S. 120.

[78] Braun, Dietrich; Collin, Gerd: 100 Jahre Bakelit, in: Chem. Unserer Zeit 2010, 44, S. 190-197.

[79] Crespy, Daniel; Bozonnet, Marianne; Meier, Martin: a.a.O.

[80] Fenichell, Stephen: a.a.O.

[81] Tschimmel, Udo: a.a.O.

[82] Kaufmann, Carl B.: a.a.O., S. 10

[83] Meikle, Jeffrey L: American Plastic. A Cultural History, New Jersey 1995.

[84] Bijker, Wiebe E.: Of Biycles, Bakelites, and Bulbs. Toward a Theory of Sociotechnical Change,

Cambridge 1995.

[85] http://www.nasonline.org/publications/biographical-memoirs/memoir-pdfs/baekeland-leo-h.pdf.

[86] Hinweise ergeben sich jedoch daraus, dass Julius Rütgers - mit seinen insgesamt 80 Betriebsstätten im Deutschen Reich Marktführer im Bereich der Verarbeitung von Teer aus Gaswerken und Kokereien - am Ende des 19. Jahrhunderts begonnen hatte, systematisch dieses Abfallprodukt zu lagern, als ob eine Nutzanwendung - außer den bereits bekannten Destillaten - bereits in Sicht sei. Vgl.: Schlottau, a.a.O., S. 95 f.

[87] o. V, Technische Notizen, Kunststoffe 2 (1912), S. 197-199.

[88] Vgl. König, Wolfgang: Geschichte der Konsumgesellschaft, Stuttgart 2000, S. 415.

[89] Vgl. Bernal, J. D.: Wissenschaft. Die Naturwissenschaften der Gegenwart, Hamburg 1970, S. 761.

[90] Vgl. http://www.duden.de/rechtschreibung/Kunststoff (eingesehen am 07.09.2104).

[91] Vgl. Braun, Dietrich: Kleine Geschichte der Kunststoffe, München 2013, S. 1.

[92] Vgl. ebd., S. 8.

[93] Ebd.

[94] Vgl. ebd.

[95] Vgl. S. 8-9.

[96] Vgl. ebd., S. 9.

[97] Ebd.

[98] Ebd., S. 9-10.

[99] Ebd., S. 10.

[100] Vgl. für das Folgende: Ebd., S. 9-10.

[101] Gnauck, Bernhard; Fründt, Peter: Einstieg in die Kunststoffchemie, München 1991, S. 167.

[102] Hultzsch, K.: Chemie der Phenolharze, Berlin, Göttingen, Heidelberg 1950, S. 107.

[103] Vgl. ebd.

[104] Vgl. Gnauck, Bernhard; Fründt, Peter: a.a.O., S. 151

[105] Vgl. ebd.

[106] Vgl. Bakelite Gesellschaft MBH: Bakelite Preßmassen. Ihre Herstellung und Verarbeitung,

Erkner / Berlin 1936, S. 6.  

[107] Ebd.

[108] Ebd.

[109] Vgl. ebd.

[110] Vgl. ebd.

[111] Vgl. ebd.

[112] Ebd., S. 7.

[113] Vgl. ebd.

[114] Ebd.

[115] Vgl. ebd.

[116] Ebd.

[117] Vgl. ebd.

[118] Bakelite Gesellschaft MBH: Bakelite der deutsche Werkstoff,  Erkner / Berlin 1936, S. 6

[119] Hultzsch, K.: a.a.O., S. 116.

[120] Hansen, Achim: Von der chemischen Grundlagenforschung zum synthetischen Werkstoff, in: Bakelit. Ein Werkstoff mit Zukunft (Begleitpublikation zur gleichnamigen Sonderausstellung des Landesmuseums Koblenz und des Kunststoff-Museums-Vereins e.V.), hg. v. Ulrich Löber, Koblenz 1993, S. 47-54, S. 53-54.

[121] Vgl. Green, Harald: „Bakelit“-Kunststoffe. Technologie der chemischen Großproduktion, in: Bakelit. Ein Werkstoff mit Zukunft (Begleitpublikation zur gleichnamigen Sonderausstellung des Landesmuseums Koblenz und des Kunststoff-Museums-Vereins e.V.), hg. v. Ulrich Löber, Koblenz 1993, S. 33-44, S. 34.

[122] Ebd.

[123] Ebd.

[124] Ebd.

[125] Franck, H.-G.; Collin, G.:  S. 1.

[126] Franck, H.-G.; Knop, A.: Kohleveredlung. Chemie und Technologie, Berlin, Heidelberg,

New York 1979, S. 104.

[127] Ebd., S. 105

[128] Ebd.

[129] Ebd.

[130] Ebd.

[131] Vgl. ebd.

[132] Vgl. ebd.

[133] Ebd., S. 105-106.

[134] Vgl. ebd, S. 106.

[135] Ebd.

[136] Ebd.

[137] Vergleiche für das Folgende: Collin, Gerd: Geschichte der Steinkohlenteerchemie […]: a.a.O., S. 7.

[138] Ebd., S. 8.

[139] Franck, H.-G.; Knop, A.: a.a.O., S. 108.

[140] Ebd.

[141] Vgl. ebd.

[142] Vgl. Collin, Gerd: a.a.O., S. 26.

[143] Ebd.

[144] Franck, H.-G.; Knop, A.: a.a.O., S. 114.

[145] Ebd., S. 115.

[146] Ebd.

[147] Vgl. Franck, H.-G.; Collin, G.: a.a.O., S. 79.

[148] Vgl. ebd.

[149] Ebd.

[150] Ebd.

[151] Ebd.

[152] Ebd.

[153] Ebd., S. 81.

[154] Ebd.

[155] Ebd.

[157] Ebd.

[158] Vgl. ebd.

[159] Vgl. Roth, L.; Rupp, G.: Formaldehyd, Heidelberg u.a., 2014, S. 14.

[160] Ebd., S. 13.

[161] Vgl. ebd.

[162] Ebd.

[163] Ebd.

[164]Vgl. Ebd.

[165] Vgl. Roth, L.; Rupp, G.: a.a.O., S. 13.

[166] Vgl. ebd.

[167] Ebd.

[168] Gnauck, Bernhard; Fründt, Peter: a.a.O., S. 165.

[169] Ebd.

[170] Ebd.

[171] Domininghaus, Hans; Elsner, Peter; Eyerer, Peter; Hirth, Thomas: a.a.O., S. 1034.

[172] Gnauck, Bernhard; Fründt, Peter: a.a.O., S.166.

[173] Hansen, Achim: a.a.O., S. 53.

[174] Hultzsch, K.: a.a.O., S. 107.

[175] Ebd., S. 107-108.

[176] Vgl. Hultzsch, K.: a.a.O., S. 108.

[177] Gnauck, Bernhard; Fründt, Peter: a.a.O., S 170.

[178] Vgl. ebd.

[179] Vgl. Hultzsch, K.: a.a.O., S. 109.

[180] Ebd.

[181] Ebd.

[182] Ebd.

[183] Vgl. ebd., S. 108.

[184] Vgl. ebd.

[185] Ebd.

[186] Ebd.

[187] Ebd.

[188] Vgl. ebd., S. 109.

[189] Vgl. Gnauck, Bernhard; Fründt, Peter: a.a.O., S. 170.

[190] Vgl. Hultzsch, K.: a.a.O., S. 107.

[191] Vgl. ebd. 110.

[192] Vgl. ebd.

[193] Vgl. ebd.

[194] Ebd.

[195] Ebd.

[196] Ebd.

[197] Vgl. ebd.

[198] Ebd.

[199] Ebd.

[200] Domininghaus, Hans; u. a.: a.a.O., S. 1034.

[201] Ebd.

[202] Ebd.

[203] Ebd.

[204] Ebd.

[205] Ebd.

[206] Ebd., S. 1034-1036.

[207] Ebd., S. 1036.

[208] Ebd.

[209] Ebd.

[210] Ebd.

[211] Ebd.

[212] Ebd.

[213] Ebd.

[214] Ebd.

[215] Ebd.

[216] Ebd.

[217] Ebd., S. 1037.

[218] Ebd.

[219] Ebd.

[220] Ebd.

[221] Ebd.

[222] Ebd.

[223] Ebd.

[224] Ebd.

[225] Ebd.

[226] Ebd.

[227] Vgl. ebd.

[228] Ebd.

[229] Ebd.

[230] Ebd.

[231] Ebd., S.1037-1038.

[232] Ebd., S. 1038.

[233] Ebd.

[234] Ebd.

[235] Ebd.

[236] Ebd.

[237] Ebd.

[238] Ebd.

[239] Ebd.

[240] Ebd.

[241] Ebd.

[242] Ebd.

[243] Ebd.

[244] Ebd.

[245] Vgl. ebd.

[246] Ebd.

[247] Ebd.

[248] Ebd.

[249] Ebd.

[250] Ebd.

[251] Ebd.

[252] Ebd.

[253] Ebd., S. 1038-1039.

[254] Ebd., S. 1039.

[255] Vgl. ebd.

[256] Vgl. ebd.

[257] Eckert, Armin; Schröter, Stephan : Phenolharze und Formmassen als erster Duroplast – Anwendung heute, in: Bakelit. Ein Werkstoff mit Zukunft (Begleitpublikation zur gleichnamigen Sonderausstellung des Landesmuseums Koblenz und des Kunststoff-Museums-Vereins e.V.), hg. v. Ulrich Löber, Koblenz 1993, S. 67-74, S. 70.

[258] Ebd.

[259] Ebd.

[260] Vgl. Domininghaus, Hans; u. a.: a.a.O., S. 1041.

[261] Ebd.

[262] Kaiser, Wolfgang: Kunststoffchemie für Ingenieure. Von der Synthese bis zur Anwendung,

München 2011, S. 418

[263] Ebd.

[264] Ebd.

[265] Ebd.

[266] Gnauck, Bernhard; Fründt, Peter: a.a.O., S. 170-171.

[267] Ebd. S., 171.

[268] Ebd.

[269] Ebd.

[270] Ebd.

[271] Ebd.

[272] Ebd.

[273] Vgl. ebd.

[274] Ebd.

[275] Ebd.

[276] Vgl.für das Folgende: Kaufmann, Carl B.: a.a.O., S.1.

[277] Fenichell, Stephen: plastic. Unser synthetisches Jahrhundert, Berlin 1997, S. 99.

[278] Vgl. Karraker, Hugh: A Portrait of Leo H. Baekeland, in: 100+ Years of Plastics. Leo Baekeland and Beyond, hg. v. E. Thomas Strom; Seth C. Rasmussen, Washington DC 2011, S. 11-20, S. 14.

[279] Vgl. ebd.

[280] Fenichell, Stephen: a.a.O., S. 99.

[281] Ebd.

[282] Vgl. ebd.

[283] Vgl. ebd.

[284] Vgl. ebd.

[285] Vgl. ebd.

[286] Vgl. Tschimmel, Udo: a.a.O., S. 53.

[287] Vgl.für das Folgende: Fenichell, Stephen: a.a.O., S. 99.

[288] Vgl. Tschimmel, Udo: a.a.O., S. 53.

[289] Fenichell, Stephen: a.a.O., S. 99-100

[290] Ebd., S.100

[291] Ebd.

[292] Ebd.

[293] Ebd.

[294] Vgl. ebd,

[295] Vgl. Tschimmel, Udo: a.a.O., S. 53.

[296] Vgl. ebd.

[297] Vgl. Fenichell, Stephen: a.a.O., S. 99

[298] Vgl. Tschimmel, Udo: a.a.O., S. 53.

[299] Ebd.

[300] Braun, Dietrich; Collin, Gerd: a.a.O., S. 192.

[301] Fenichell, Stephen: a.a.O., S. 100.

[302] Vgl. ebd.

[303] Vgl. ebd.

[304] Vgl. Strom, E. Thomas; Rasmussen, Seth C.: a.a.O., S. 3.

[305] Vgl. Fenichell, Stephen: a.a.O., S. 100.

[306] Ebd., S. 101.

[307] Vgl. ebd.

[308] Vgl. Strom, E. Thomas; Rasmussen, Seth C.: a.a.O., S. 3.

[309] Vgl. ebd., S. 4­­.

[310] Vgl. Ebd.

[311] Fenichell, Stephen: a.a.O., S. 101.

[312] Vgl. ebd.

[313] Vgl. Meikle, Jeffrey L: a.a.O., S. 35.

[314] Vgl. Fenichell, Stephen: a.a.O., S. 101.

[315] Vgl. Braun, Dietrich; Collin, Gerd: a.a.O., S. 192.

[316] Vgl. Kaufmann, Carl B.:a.a.O., S. 4.

[317] Vgl. ebd.

[318] Vgl. Braun, Dietrich; Collin, Gerd: a.a.O., S. 192

[319] Vgl. ebd.

[320] Vgl. Tschimmel, Udo: a.a.O., S. 54.

[321] Vgl. Alef ,Daniel:  Leo "Doc" Baekeland: Father of Plastic, Santa Barbara. 2007, S. 2.

[322] Vgl. Fenichell, Stephen: a.a.O., S. 101.

[323] Vgl. Braun, Dietrich; Collin, Gerd: a.a.O., S. 192.

[324] Vgl.Tschimmel, Udo: a.a.O., S. 54

[325] Vgl. ebd.

[326] Vgl. Meikle, Jeffrey L: a.a.O., S. 35.

[327] Vgl. Fenichell, Stephen: a.a.O., S, 101.

[328] Vgl. ebd.

[329] Ebd.

[330] Vgl. ebd., S. 102

[331] Vgl. Kaufmann, Carl B..: a.a.O., S. 4.

[332] Vgl ebd.

[333] Meikle, Jeffrey L: a.a.O. S. 35.

[334] Vgl. Kaufmann, Carl B..: a.a.O., S. 5.

[335] Vgl. ebd.

[336] Tschimmel, Udo: a.a.O. S. 54.

[337] Ebd.

[338] Ebd

[339] Vgl. ebd., S.54-55.

[340] Vgl. ebd. S. 55

[341] VgEbd.

[342] Vgl. Crespy, Daniel; Bozonnet, Marianne; Meier, Martin: a.a.O., S. 3369.

[343] Tschimmel, Udo: a.a.O., S. 55.

[344] Ebd.

[345] Vgl Crespy, Daniel; Bozonnet, Marianne; Meier, Martin: a.a.O., S. 3369.

[346] Ebd.

[347] Vgl. Kaufmann, Carl B.:.: a.a.O. S. 5,

[348] Vgl. ebd.

[349] Vgl. Tschimmel, Udo: a.a.O., S. 55.

[350] Vgl. für das Folgende: Kaufmann, Carl B..: a.a.O., S. 5-6.

[351] Vgl. 3369 Crespy, Daniel; Bozonnet, Marianne; Meier, Martin: a.a.O., S. 3369.

[352] Vgl. Kaufmann, Carl B..: a.a.O. S. 6.

[353] Vgl. ebd.

[354] Vgl. ebd.

[355] Vgl. Fenichell, Stephen: a.a.O., S. 103.

[356] Vgl. ebd.

[357] Ebd., S. 104.

[358] Vgl. für das Folgende: Kaufmann, Carl B..: a.a.O., S. 6.

[359] Vgl. Tschimmel, Udo: a.a.O., S. 55.

[360] Ebd.

[361] Ebd.

[362] Vgl. Braun, Dietrich; Collin, Gerd: a.a.O., S. 193

[363] Vgl. ebd.

[364] Ebd.

[365] Vgl. Tschimmel, Udo: a.a.O., S. 55.

[366] . Alef ,Daniel: a.a.O., S. 2

[367] Vgl. ebd., S. 2-3.

[368] Tschimmel, Udo: a.a.O., S. 55.

[370] Vgl. ebd,

[371] Fenichell, Stephen: a.a.O., S. 104

[372] Ebd.

[373] Braun, Dietrich; Collin, Gerd: a.a.O., S. 193.

[374] Ebd.

[375] Vgl. ebd.

[376] Vgl. Meikle, Jeffrey L: a.a.O., S. 36.

[377] Vgl. ebd.

[378] Vgl. für das Folgende: Kaufmann, Carl B..: a.a.O., S. 7.

[379] Vgl. für das Folgende: http://www.nasonline.org: a.a.O., S. 287.

[380] Vgl. Kaufmann, Carl B.: a.a.O., S. 8.

[381] Vgl. Tschimmel, Udo: a.a.O., S. 56.

[382] Vgl. ebd.

[383] Vgl. für das Folgende: Kaufmann, Carl B..: a.a.O., S. 8.

[384] Vgl. Meikle, Jeffrey L: a.a.O., S. 36.

[385] Baekeland, Leo H.: Bakelit, ein neues synthetisches Harz (I), in: Chemiker Zeitung 33, Nr. 35 (1909),

 S. 317-318, S. 317.

[386] Vgl. Meikle, Jeffrey L: a.a.O., S. 37.

[387] Baekeland, Leo H.: Bakelit, ein neues synthetisches Harz (I): a.a.O., S. 317.

[388] Vgl. Meikle, Jeffrey L.: a.a.O., S. 37.

[389] Vgl. Stephen: a.a.O., S. 104.

[390] Ebd.

[391] Vgl. ebd.

[392] Ebd., S. 105.

[393] Ebd.

[394] Vgl. ebd.

[395] Ebd

[396] Vgl. ebd.

[397] Vgl. für das Folgende:  Meikle, Jeffrey L.: a.a.O., S. 37.

[398] Vgl. Braun, Dietrich; Collin, Gerd: a.a.O., S. 194.

[399] Ebd.

[400] Vgl. für das Folgende:  Meikle, Jeffrey L.: a.a.O., S. 37-38.

[401] Vgl. Fenichell, Stephen: a.a.O., S. 106.

[402] Vgl. ebd., S. 106-107

[403] Baekeland, Leo H.: Bakelit, ein neues synthetisches Harz (I): a.a.O., S. 317.

[404] Vgl. für das Folgende: Fenichell, Stephen: a.a.O., S. 106-107.

[405] Baekeland, Leo H.: Bakelit, ein neues synthetisches Harz (I): a.a.O., S. 317.

[406] Ebd. S. 317-318

[407] Ebd.

[408] Ebd.

[409] Baekeland, Leo H.: Bakelit, ein neues synthetisches Harz (I): a.a.O., S. 318.

[410] Baekeland, Leo H.: Bakelit, ein neues synthetisches Harz (II), in: Chemiker Zeitung 33, Nr. 36 (1909),

S. 326-328, S. 326.

[411] Ebd., S. 326-327.

[412] Ebd. S. 327.

[413] Ebd., S.327-328.

[414] Ebd., S. 328.

[415] Chemiker Zeitung III. S. 347. Baekeland, Leo H.: Bakelit, ein neues synthetisches Harz (III), in: Chemiker Zeitung 33, Nr. 36 (1909), S. 347-348, S. 347.

[416] Ebd., S.347-348.

[417] Ebd., S. 348.

[418] Chemiker zeitung IV S. 358 Baekeland, Leo H.: Bakelit, ein neues synthetisches Harz (IV), in: Chemiker Zeitung 33, Nr. 36 (1909), S. 358-359, S. 358.

[419] Ebd., S. 358.

[420] Vgl. Fenichell, Stephen: a.a.O., S. 108.

[421] Vergleiche für das Folgende: Bijker, Wiebe E.: a.a.O., S. 159.

[422] Vgl. Fenichell, Stephen: a.a.O., S. 109.

[423] Vgl. Bijker, Wiebe E.: a.a.O., S. 159-160

[424] Vgl. Collin, Gerd: Zur Geschichte der Bakelite-Duroplaste, in: Zeitzeugenberichte V -Chemische Industrie-. Tagung “Industriekreis“ der GDCh-Fachgruppe Geschichte der Chemie 22-23 August 2002 in Leverkusen (=Gesellschaft Deutscher Chemiker, Bd. 26), hg. v. K. Krug und D. Wagner, Frankfurt am Main 2003., S.147-170, S. 154.

[425] Vgl. für das Folgende: Collin, Gerd: Geschichte der Steinkohlenteerchemie […] a.a.O., S. 77.

[426] Vgl. Collin, Gerd: Zur Geschichte der Bakelite-Duroplaste: a.a.O., S. 155.

[427] Ebd., S. 156.

[428] Ebd.

[429] Vgl. ebd.

[430] Vgl. Schwedt, Georg: Plastisch, elastisch, fantastisch. Ohne Kunststoffe geht es nicht, Weinheim 2013, S. 69.

[431] Vgl. ebd.

[432] Vgl. für das Folgende: Collin, Gerd: Zur Geschichte der Bakelite-Duroplaste: a.a.O., S. 157-164.

[434] Vgl. für das Folgende: Collin, Gerd: Geschichte der Steinkohlenteerchemie […] a.a.O., S. 193-194.

[435] Vgl. für das Folgende: Braun, Dietrich; Collin, Gerd: a.a.O., S.196.

[436] Vgl. für das Folgende: http://de.wikipedia.org/wiki/Bakelite (eingesehen am 29.09.2014).

[437] Vgl. für das Folgende: Bijker, Wiebe E: a.a.O., S. 168.

[438] Baekeland, Leo H.: Bakelit und Resit. Erwiderung auf  Dr. H. Lebachs Veröffentlichung über Resinit, in: Angewandte. Chemie., Vol. 22, Nr. 41 (08.10.1909), S. 2006 -2007, S. 2007.

[439] Vgl. für das Folgende: Bijker, Wiebe E: a.a.O., S. 168.

[440] Vgl. Meikle, Jeffrey L: a.a.O., S.  50.

[441] Vgl. Bijker, Wiebe E: a.a.O., S. 170.

[442] Vgl. Meikle, Jeffrey L: a.a.O., S. 51.

[443] Vgl. für das Folgende: Bijker, Wiebe E: a.a.O., S. 170.

[444] Vgl.für das Folgende: Meikle, Jeffrey L: a.a.O., S.  51.

[445] Vgl. Bijker, Wiebe E: a.a.O., S. 170.

[446] Vgl. ebd.

[447] Vgl. Meikle, Jeffrey L: a.a.O., S.  52.

[448] Bijker, Wiebe E: a.a.O., S. 170.

[449] Vgl. für das Folgende: Meikle, Jeffrey L: a.a.O., S. 52.

[450] Bijker, Wiebe E: a.a.O., S. 171.

[451] Vgl. für das Folgende: Meikle, Jeffrey L: a.a.O., S. 55-56.

[452] Vgl. für das Folgende: http://www.nasonline.org: a.a.O., S. 291-292.

[453] Fenichell, Stephen: a.a.O., S. 110.

[454] Vgl. ebd.

[455] Ebd.

[456] Vgl. http://www.nasonline.org: a.a.O., S. 292.

[457] Vgl. für das Folgende: Tschimmel, Udo: a.a.O., S. 55.

[458] Vgl. für das Folgende:  http://www.nasonline.org: a.a.O., S. 293.

[459] Vgl. Fenichell, Stephen: a.a.O., S. 98.

[460] Ebd.

[461] Vgl. ebd.

[462] Vgl. http://www.nasonline.org: a.a.O., S. 293.

[463] Vgl. ebd.

[464] Fenichell, Stephen: a.a.O., S. 119-120.

[465] Vgl. ebd., S. 120.

[466] Ebd.

[467] Vgl: ebd.

[468] Vgl. Tschimmel, Udo: a.a.O., S. 63.

[469] Ebd.

[470] Vgl. Braun, Dietrich; Collin, Gerd: a.a.O., S. 195.

[471] Anonym, technische Notizen, Kunststoffe 2 (1912), S. 197-199.

[472] Vgl. Clark, Tessa: a.a.O., S. 14.

[473] Vgl. ebd.

[474] Löber, Ulrich; Bruckmann, Peter: Vorwort, in: Bakelit. Ein Werkstoff mit Zukunft (Begleitpublikation zur gleichnamigen Sonderausstellung des Landesmuseums Koblenz und des Kunststoff-Museums-Vereins e.V.), hg. v. Ulrich Löber, Koblenz 1993, S. 7.

[475] Vgl. ebd.

[476] Ebd.

[477] Crespy, Daniel; Bozonnet, Marianne; Meier, Martin: a.a.O., S. 3373.

[478] Vgl. Kölsch, Hans Ulrich: Bakelit und Design. Formgebung und frühe Interpreten, in: Bakelit. Ein Werkstoff mit Zukunft (Begleitpublikation zur gleichnamigen Sonderausstellung des Landesmuseums Koblenz und des Kunststoff-Museums-Vereins e.V.), hg. v. Ulrich Löber, Koblenz 1993, S. 81-92, S. 82.

[479] Vgl. Crespy, Daniel; Bozonnet, Marianne; Meier, Martin: a.a.O., S. 3373.

[480] Kölsch, Hans Ulrich: a.a.O., S. 91.

[481] Vgl. Crespy, Daniel; Bozonnet, Marianne; Meier, Martin: a.a.O., S. 3373.

[482] Vgl. ebd.

[483] Vgl. ebd., S. 3371.

[484] Vgl. für das Folgende: Cook, Patrick; Slessor, Catherine: a.a.O., S. 14.

[485] Vgl. Crespy, Daniel; Bozonnet, Marianne; Meier, Martin: a.a.O., S. 3371.

[486] Vgl. Tschimmel, Udo: a.a.O., S. 65.

[487] Vgl. für das Folgende: Cook, Patrick; Slessor, Catherine: a.a.O. S. 14.

[488] Vgl. für das Folgende: Crespy, Daniel; Bozonnet, Marianne; Meier, Martin: a.a.O., S. 3371.

[490] Vgl. Clark, Tessa: a.a.O., S. 24.

[491]Vgl. für das Folgende: http://plasticker.de: a.a.O., S. 1-3.

[492] Vgl. für das Folgende: Clark, Tessa: a.a.O., S. 36.

[493] Vgl. für das Folgende: Cook, Patrick; Slessor, Catherine: a.a.O., S. 24.

[494] Vgl. für das Folgende: Clark, Tessa: a.a.O., S. 36-38.

[495] Vgl. für das Folgende: Clark, Tessa: a.a.O., S. 76.

[496] Vgl. für das Folgende: Cook, Patrick; Slessor, Catherine: a.a.O., S. 54.

[497] Vgl. Tschimmel, Udo: a.a.O., S. 71.

[498] Vgl. Kreibich, Rolf: Die Wissensgesellschaft. Von Galilei zur High-Tech-Revolution,

Frankfurt am Main 1986. S. 225.

[499] Vgl. ebd.

[500] Vgl.ebd.

[501] Vgl. Bijker, Wiebe E.: a.a.O., S. 182.

[502] Vgl. Schwedt, Georg: a.a.O., S. 69.

[503] Vgl. Kreibich, Rolf: a.a.o., S. 226

[504] Ebd., S. 226-227.